Воспоминания о людях

Предположим, вас попросили вспомнить людей, с которыми вы учились в старших классах. В ходе одного эксперимента исследователи проверяли, как участники помнят события разной давности – от нескольких лет до двадцати. Участников просили назвать имена их одноклассников – они работали над этим заданием днями, а в некоторых случаях и месяцами. Чем дольше они пытались вспомнить, тем больше имен называли. Представленный на следующей странице график показывает прогресс одной из участниц.

Когда тестируемые пытались вспомнить имена, их просили думать вслух. Вот что сказал один из них (имена изменены в целях охраны личной информации):

Я пытался вспомнить фамилию Карла, но все никак не получается. Э-э, что ж, дайте подумать, может, есть какие-нибудь районы, до которых я еще не добрался и где, насколько я помню, жили мои сверстники. Э… хм… Наверху на окраине никто не жил… А теперь я пытаюсь вспомнить Сансет-Клиффс в Западной Калифорнии, потому что многие ходили туда собирать ракушки, заниматься серфингом и просто весело проводить время. Я пытаюсь вспомнить всех моих одноклассников, которые могли заниматься там серфингом или собирать ракушки. Мм… Если бы я мог увидеть их стоящими в ряд вдоль… Там на пляже Ньюбрейк есть одна скала, они всегда выстраивались там в очередь со своими досками и садились смотреть на волны. Теперь я иду вдоль всего ряда и проверяю, нет ли среди них того, кого я еще не назвал. Вот Бенни Несбит (его я уже упоминал) и Дейв Кулберт – они ходили заниматься серфингом. И еще там много ребят постарше. Джон Нейт… Я их уже называл – все те ребята, которые занимались серфингом. Э-э, он был старше, этот – тоже, этот – тоже старше, а этот – младше. Многие из этих ребят были постарше меня. Дайте-ка подумать, этот и этот… Ладно, я просто проверял, всех ли я назвал, но не нашел никого, кого я не видел бы до этого. Там была еще одна девочка, которая вечно туда ходила, но она была чуть младше. Я уже назвал тех, с кем она дружила. Э, может, есть еще кто-нибудь, кто, насколько я знаю…

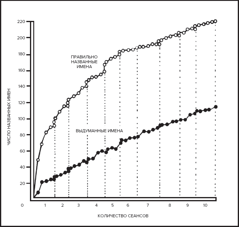
Попытка вспомнить школьных одноклассников (Williams, 1976; Lindsay, Norman, 2nd ed., 1977)

Из этого можно сделать несколько очевидных выводов. Когда участник размышлял вслух, исследователи могли выяснить что-то новое о стратегиях, которыми он пользуется. Похоже, что извлечение из памяти имен основывалось на реконструкции воспоминаний. Сначала участник старался извлечь всю ситуацию, а затем – имена отдельных людей. Значительное время тратилось на восстановление контекста, в котором происходили те или иные события. После этого участнику удавалось перечислить людей, которых он представлял в этой ситуации.

Любопытно, что тестируемые часто заходили слишком далеко. Они продолжали вспоминать новую информацию о человеке еще долго после того, как отыскивали в памяти его имя. Какова была цель этих излишних стараний? Они помогали отыскать информацию, которая могла бы подтвердить, что названный человек действительно относится к числу тех, чьи имена нужно вспомнить. Эта дополнительная информация позволяла удостовериться в том, что было названо верное имя. Помимо этого информация создавала более широкий контекст, новые ситуации, из которых затем можно было выцепить другие имена. Вот реальный пример того, как один из участников вспоминал нужную информацию, переходя от одной ситуации к другой и каждый раз называя новые группы людей (имена снова изменены):

Участница. Э-э… Я представила себе людей, которых я тогда знала, и попыталась понять, все ли они там. Я пред… представила знакомое место и только что вспомнила еще двоих. Вот Майк Петерхилл и э-э… (постукивает пальцами) Ларри Эткинсон. Я представила, как они чинят автомобиль у себя дома, вернее, дома у Ларри.

Организатор эксперимента. Ага.

Участница. Так? А в соседнем доме жила Арлин, рядом – Билл, э-э… Ладно, и еще… Моя старая подружка (смеется). Интересно, почему я о ней вспомнила. Э… Я о ней вспомнила, потому что подумала про… я подумала про дом, где живет Ларри, и… вспомнила, как однажды пошла к нему в гости, когда он чинил свою старую э-э… машину, старый «паккард», и Мэри была там, это была она, а ее подружек звали Джейн и… ммм… Как же ее звали? У нее было немного друзей, она была вроде как… все ее друзья жили в разных местах… э-э… сложно их вспомнить. Это не очень ценный список. Больше одного имени он мне не даст.

Теперь люди, с которыми я была знакома через свою сестру. Э… Я с ними не очень близко общалась, они были просто знакомыми. Лианна… парень, которого я даже не помню, как звали, и потом еще… не помню ее имени. Теперь я… я вспоминаю людей, э-э-э… с которыми дружила моя сестра и чьи имена я забыла. Прямо сейчас я их не помню, но я могу вспомнить ситуации, в которых они участвовали, и частично – как они выглядели. Мм… Ого, ух ты, ладно, я только что вспомнила… я вспомнила целую кучу людей. Мы собирались после школы, я всегда ходила на эти встречи, и там было много людей, теперь у меня есть целое здание, наполненное разными людьми, но я мало кого из них помню по именам. Рут Бауэр, Сьюзан Янгер, Сью Кейрнз… Ой, ух ты, Джефф Эндрюс, Билл Джейкобсен, я только что вспомнила еще целую группу людей. Фух (смеется), ничего себе…

Чем больше людей вспоминала эта участница, тем больше она называла вымышленных имен и фамилий. Часто эти имена принадлежали настоящим людям, которые учились в другом классе или участвовали в других эпизодах из ее жизни. То же происходило с другими участниками. После девяти часов напряжения памяти почти половина всех впервые называемых имен оказывались ложными.

Молодая женщина, чей процесс припоминания отражен на графике, за десять часов смогла вспомнить около 220 имен из возможных 600. Значит ли это, что, проведя три или четыре года в старшей школе, мы сохраняем информацию лишь о трети наших одноклассников? Вероятно, нет. В ходе исследования эту молодую женщину попросили вспомнить имена ее одноклассников. Участникам других экспериментов дают имена (и показывают лица) и просят сказать, знают ли они этих людей. Опознание – более простой процесс, чем припоминание, и когда людей просят кого-то опознать, а не вспомнить, они, как правило, демонстрируют очень хорошие результаты. Даже те участники, которые закончили школу более сорока лет назад и проходили тестирование, когда им уже шел седьмой десяток, смогли опознать три четверти своих одноклассников.

Итак, похоже, что люди достаточно хорошо помнят своих одноклассников. Обычно им удается вспомнить их имена, восстановив некую ситуацию или контекст, а затем «увидев» своих школьных друзей в этой ситуации. И все-таки делать выводы нужно с большой осторожностью, ведь память о старых добрых школьных временах может оказаться замутненной ложными деталями.

Более 800 000 книг и аудиокниг! 📚

Получи 2 месяца Литрес Подписки в подарок и наслаждайся неограниченным чтением

ПОЛУЧИТЬ ПОДАРОК