6.4. Практикуй, не практикуй…
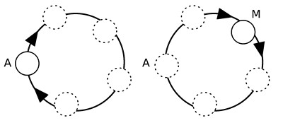
Вернемся на два шага назад, к вихрям либидо. Либидо, посланное Алисой, не находит своей цели, сбивается с курса и после долгих мытарств по сознанию возвращается к источнику (рис. 6.9). Для определенности предположим, что либидо не покидает сознания и даже не приближается к бессознательному.
Чем этот случай отличается от разрастания амбивалентности (5.4), когда к пинг-понгу Алисы и Бэзила присоединялись все новые и новые представления? Правильно. Здесь нет Бэзила. Еще чем? Правильно. Нет дополнительных эффектов на границе сознания и бессознательного – все происходит в пределах одной структуры.
Получается, мы вернулись не на два, а на три шага. Когда никакой амбивалентности нет и не может быть. Есть только влечение: с источником (Алисой) и вытесненной целью (Бэзилом). Встречного потока либидо нет. Есть то, что называется удачным вытеснением, хотя удача эта весьма сомнительная. Где замещение? Где новая цель? Новой целью стала сама Алиса. Алиса замещает сама себя. Она доставляет себе удовольствие, используя себя как мишень для разрядки. Аналогично, сама причиняет себе неудовольствие, потому что получает либидозную нагрузку от себя.
По форме это знакомый вам вихрь либидо, не ищите здесь подвоха. Новизна в его происхождении. В прошлой главе было два встречных влечения, образующих устойчивую конструкцию. Сейчас влечение только одно, притом его источник и цель совпадают. Какое-то странное влечение.

Рис. 6.9. Когда к замкнутому потоку подключается слишком много представлений, они все равны с точки зрения либидо.
Может, дело в Алисе, и она неудачно выбирает деловых партнеров? Возьмем любое представление в замкнутом контуре – знакомого нам Мориса (рис. 6.9). Мы с удивлением обнаружим у него те же самые проблемы. Морис отправляет либидо саму себе. Вообще любое представление внутри вихря можно рассматривать в качестве источника-цели какого-то странного влечения. Поэтому не будем церемониться, воспользуемся правилом композиции и объединим весь хоровод в одно представление с многообещающим названием: Грабли (рис. 6.10).

Рис. 6.10. а) Пользуясь правилом композиции, все представления из замкнутого контура можно заменить одним представлением. Диаграммы б), в), г) абсолютно эквивалентны. Они все изображают представление с запасом либидо в его вихревой форме. Диаграмма г) заимствована из атомной физики, где таким образом обозначают спин (собственное вращение частицы). Обратите внимание, что на диаграммах а) – в) вращение происходит по часовой стрелке, поэтому на диаграмме г) «спин» смотрит вниз.
Может ли сейчас где-нибудь возникнуть застой либидо? Какое предположение в начале параграфа вы использовали? Пишите свои ответы в группу «Психоанализ для избранных». Самые внимательные получат в подарок книгу автора.
Алиса могла посылать либидо сама себе безо всяких посредников. Диаграмма была бы та же (нам хотелось в очередной раз показать упрощающий композиционной фокус). Но сама картинка – стала бы более завораживающей: как кружащаяся на месте посреди поля, раскинув руки, девица, которая доводит концепцию хоровода до завершения. За визуальным подтверждением отсылаем читателя к клипу на песню Нейромонаха Феофана «Притоптать». Сделайте перерыв, зарядитесь энергией славянских архетипов и затем продолжайте чтение.
Отдохнули? Продолжаем.
Не будем повторно доказывать, почему подключение к хороводу выгодно всем его участникам (удлиняется путь, уменьшается плотность либидо, каждое представление получает передышку от либидозной нагрузки). И Алиса, и Морис, и другие решили проблему излишек либидо, но сами оказались пленниками вечного возвращения. Они поблекли, потерялись в круговороте энергии. Получается, разрядка уже произошла! Иными словами, перед нами не просто влечение, а удовлетворенное влечение.
Переход к привычной (парной) структуре влечения осуществляется почти мгновенно. Мысленно разделим контур, по которому бегает либидо, на две части. В одной части избыток энергии, в другой энергии нет. Это исходное состояние несчастной Алисы, лишившейся цели (рис. 6.11). Пока либидо еще не сделало ни одного полного оборота, всегда можно разделить «трубу» на два участка (полный и пустой). Эти участки состоят из связанных представлений, то есть сами являются представлениями. Получили устойчивую пару представлений, между которыми искрится разность потенциалов (рис. 6.11), то есть самое обычное влечение.

Рис. 6.11. Начальное состояние вихря. Либидо еще сосредоточено в одной части контура. Эту часть по правилу композиции можно заменить представлением, у которого есть запас либидо. Другую (пустую) часть контура – представлением без энергии. Эти два представления образуют устойчивую пару – влечение.
Постепенно либидо занимает все больше места, то есть перемещается из переполненной части в незаполненную. Плотность выравнивается. Каждому представлению достается слишком мало энергии, чтобы как-то проявить свою волю. Вот она, обратная сторона бесплатного сыра! Нарушить симметрию некому. Влечение удовлетворено!
Замечание. Если хочется больше строгости, то можно рассуждать в терминах симметрии и теории возмущений. Пустой участок – это возмущение. Психические системы нелинейны (были бы линейные, их бы давно изучили). В нелинейных системах возмущение всегда нестационарно: либо быстро нарастает, либо быстро затухает. Нарастание возмущения означает увеличение пустого участка. Как будто либидо испытывает сопротивление при движении в область с меньшей нагрузкой. Но, согласно принципу удовольствия, такое сопротивление требует внешнего воздействия. Внешнего воздействия нет, поэтому возмущение может только убывать. Еще строже без формул нельзя, да и не нужно для научно-популярной литературы.
Интересно получается. Влечения больше нет, а движение есть. Циркуляция продолжается по инерции. По идее, когда-то хоровод должен угаснуть, истощить свои силы. Но в главе 5 мы договорились, что необратимые потери либидо возможны только при аффектах. Значит, цикл вечен. Никуда вы не денетесь ни от повторяющихся кошмаров, ни от бессонных раздумий над ошибками прошлого, ни от травмирующих воспоминаний – от навязчивого повторения. Прыжки на Граблях не являются попыткой найти удовлетворение – это и есть форма удовлетворения!
Вот это поворот.
Впрочем, дедушка Фройд предвидел и это. Удивительно, насколько он опережал свое время, пользуясь тончайшими намеками психики. Безо всяких диаграмм, не опускаясь до возни с одиночными представлениями. Конечно же, речь о влечениях смерти. Не «к смерти», а просто – «смерти», в родительном падеже. Влечения чьи? Смерти. Или смертельные влечения. Todestriebe.
Мы можем называть их также «мертвыми влечениями». Они ведь удовлетворены, то есть мертвы для психики.
Бытует мнение, что первенство в открытии влечений смерти принадлежит Сабине Шпильрайн. Однако из ее текстов[60] очевидно, что она работала совершенно в другой области. Ее рассуждения красивы и многогранны, но либидо Шпильрайн – это либидо не Фройда, а Юнга. Но есть не психосексуальная энергия, а психическая энергия вообще (иногда даже парапсихическая, восходящая к архетипам и мистическим переживаниям). Шпильрайн первая открыла влечения смерти в аналитической психологии, а Фройд первым открыл их в психоанализе. Разные методологии, разные исследовательские программы, разные подходы, разная аксиоматика и семантика. Все разное. Только тяга к поэтизации терминов общая.
Классический психоанализ споткнулся о проблему навязчивого повторения еще при жизни Фройда. Почему психика охотно воспроизводит, притом по многу раз, травмирующую ситуацию? Почему далеко не все сновидения исполняют наши желания? Почему прыжки на граблях – любимая забава многих, всемирный вид спорта?
Фройд, как любой настоящий ученый, не боялся признавать своих ошибок и пересматривать теорию под давление новых фактов. Он предположил, что есть особый принцип навязчивого повторения (Wiederholungszwangprinzip). И особые влечения смерти, работающие по этому принципу, которые пытаются повернуть развитие вспять, отбросить психику к предыдущему состоянию[61].
На наш взгляд, Фройд недооценил теорию влечений в ее первой редакции и немного поторопился с умножением сущностей без нужды.
Мы попробуем одной маленькой поправкой полностью свести принцип навязчивого повторения к принципу удовольствия. Для этого вновь зададимся вопросом: вследствие чего либидо стало мотаться по кругу? И повторим ответ: вследствие того, что все представления в круге следовали принципу удовольствия, стремились уменьшить перепад либидо. Представления получают удовольствие от участия в хороводе. Плясунов не волнует тот факт, что субъект в этот момент в сотый раз наступает на одни и те же грабли. Субъекту можно только посоветовать не искать скрытых смыслов, не пенять на карму, не дергаться и не напрягаться. А получать удовольствие. Или утешиться мыслью, что малая часть его психики получает удовольствие.
Анализировать содержательную часть навязчиво повторяющегося сюжета бессмысленно. Влечения смерти не подлежат анализу, потому что они уже удовлетворены. Прыжки на граблях – индикатор успешного удовлетворения. Здесь Фройд снова опередил время и нарисовал жирную границу возможностей психоаналитической теории. Тем смешнее наблюдать, как кляйнианцы и прочие современные «аналитики» держат хорошую мину при плохой игре и ищут скрытый смысл в воспроизведении клиентом одного и того сюжета. Не нужно слушать их сказки. Лучше внимательно перечесть третий том Учебного Издания[62]. И остальные тома тоже.
В вопросах посттравматического стрессового расстройства (ПТСР) врачи-психотерапевты оказываются гораздо более аналитичными, чем «аналитики». Одно из общеизвестных правил при работе с ПТСР – не лезть в прошлое клиента, сосредоточиться на его актуальных переживаниях.
Психотерапевты объясняют свой подход просто и интуитивно понятно. Мол, зачем холодить былую рану? Вы же теперь можете объяснить весь механизм на уровне отдельных представлений и оперативно выявлять случаи, когда покой не по карману.
Классический психоаналитик, обнаружив причину несчастий клиента в удовлетворенном влечении смерти, должен отправить его к другому специалисту. Неоклассик (ференцианский психоаналитик) может использовать усовершенствованную нарративную технику или добавить метроном.
Вот мы и добрались до причин эффективности приема из главы 3. Описанный там нарративный фокус с диктофоном успешен потому, что вносит значительные возмущения в замкнутый поток. Мы даем понять психике, что малина закончилась, что влечение вновь актуально и не может удовлетвориться простым хороводом. Извольте искать другие варианты. И психика, будучи адаптивной структурой, оперативно (буквально за пару сеансов) перестроит либидозные связи. Как именно она это сделает, предсказать невозможно. Но вихрь навязчивого повторения развалится.
Слишком просто? Ну хорошо. Аналогия из атомной физики. Если электрон движется по замкнутой орбите с постоянной скоростью, то ничего не происходит. Но как только скорость меняется, электрон излучает электромагнитные волны, которые уносят с собой энергию.
Еще один способ – растянуть нарратив, удлинить маршрут либидо. Чем больше представлений в вихре, тем меньше энергии у каждого. Тем выше вероятность, что поблизости окажется более нагруженное представление и захочет использовать «халтурщиков» для разрядки. Поэтому чем проще сверхценная идея, тем сильнее человек зациклен на ней. Не нужно оспаривать идею, нужно помочь человеку развить ее, доведя таким образом до абсурда. Или до политического манифеста.
Более 800 000 книг и аудиокниг! 📚
Получи 2 месяца Литрес Подписки в подарок и наслаждайся неограниченным чтением
ПОЛУЧИТЬ ПОДАРОК