Неосознаваемые механизмы сознательных действий; первичные автоматизмы и навыки; навыки и сознание; явления неосознаваемой установки; неосознаваемые сопровождения сознательных действий и психических состояний, их значение для психологии, примеры

Вы уже хорошо знаете, что психология поведения сделала объектом своего изучения факты поведения, рассматривая их в качестве антитезы явлениям сознания. Напомню, что противопоставление поведения и сознания шло по линии метода выявления соответствующих фактов. В случае сознания это было постижение внутреннего опыта — субъективный метод; в случае поведения регистрация внешне наблюдаемых событий — объективный метод.

Однако сознанию можно противопоставить не только поведение (как внутренне наблюдаемому — внешне наблюдаемое), но и неосознаваемые, или бессознательные, психические процессы.

Им и будет посвящена эта лекция.

Неосознаваемые психические процессы стали особенно интенсивно изучаться с начала нашего века. Уже первые результаты этого изучения фактически нанесли смертельный удар по психологии сознания, вполне соизмеримый с тем, который она получила со стороны бихевиоризма. Поэтому знакомство с неосознаваемыми процессами вам совершенно необходимо для более полного представления о тех драматических событиях, которыми сопровождались поиск и уточнение предмета психологии.

Однако, поскольку к «неосознаваемому психическому» обращались в разное время очень разные ученые, изложить эту тему, прослеживая развитие какого-то одного направления или одной теории, невозможно. Поэтому я изберу не исторический, а систематический способ изложения.

Целью лекции будет: познакомить вас с фактами неосознаваемого психического; дать классификацию этих фактов; наконец, наметить проблемы, которые изучались и обсуждались в связи с последними.

Все неосознаваемые процессы можно разбить на три больших класса: (1) неосознаваемые механизмы сознательных действий; (2) неосознаваемые побудители сознательных действий; (3) «надсознательные» процессы.

В первый класс — неосознаваемых механизмов сознательных действий — входят в свою очередь три различных подкласса:

а) неосознаваемые автоматизмы;

б) явления неосознаваемой установки;

в) неосознаваемые сопровождения сознательных действий.

Рассмотрим каждый из названных подклассов.

а) Под неосознаваемыми автоматизмами подразумевают обычно действия или акты, которые совершаются «сами собой», без участия сознания. Иногда говорят о «механической работе», о работе, при которой «голова остается свободной». «Свободная голова» и означает отсутствие сознательного контроля.

Анализ автоматических процессов обнаруживает их двоякое происхождение. Некоторые из этих процессов никогда не осознавались, другие же прошли через сознание и перестали осознаваться.

Первые составляют группу первичных автоматизмов, вторые — группу вторичных автоматизмов. Первые называют иначе автоматическими действиями, вторые — автоматизированными действиями, или навыками.

В группу автоматических действий входят либо врожденные акты, либо те, которые формируются очень рано, часто в течение первого года жизни ребенка. Их примеры: сосательные движения, мигание, схватывание предметов, ходьба, конвергенция глаз и многие другие.

Группа автоматизированных действий, или навыков, особенно обширна и интересна. Благодаря формированию навыка достигается двоякий эффект: во-первых, действие начинает осуществляться быстро и точно; во-вторых, как уже говорилось, происходит высвобождение сознания, которое может быть направлено на освоение более сложного действия. Этот процесс имеет фундаментальное значение для жизни каждого индивида. Не будет большим преувеличением сказать, что он лежит в основе развития всех наших умений, знаний и способностей.

Рассмотрим какой-нибудь пример. Возьмем обучение игре на фортепиано. Если вы сами прошли через этот процесс или наблюдали, как он происходит, то знаете, что все начинается с освоения элементарных актов. Сначала нужно научиться правильно сидеть, ставить в правильное положение ноги, руки, пальцы на клавиатуре. Затем отрабатываются отдельно удары каждым пальцем, подъемы и опускания кисти и т. д. На этой самой элементарной основе строятся элементы собственно фортепианной техники: начинающий пианист учится «вести» мелодию, брать аккорды, играть стаккато и легато… И все это — лишь основа, которая необходима для того, чтобы рано или поздно перейти к выразительной игре, т. е. к задачам художественного исполнения.

Так, путем продвижения от простых действий к сложным, благодаря передаче на неосознаваемые уровни действий уже освоенных, человек приобретает мастерство. И в конце концов выдающиеся пианисты достигают такого уровня, когда, по словам Гейне, «рояль исчезает, и нам открывается одна музыка».

Почему в исполнении мастеров-пианистов остается «одна музыка»? Потому, что они в совершенстве овладели пианистическими навыками.

Говоря об освобождении действий от сознательного контроля, конечно, не надо думать, что это освобождение абсолютно, т. е. что человек совсем не знает, что он делает. Это не так. Контроль, конечно, остается, но он осуществляется следующим интересным образом.

Поле сознания, как вы уже знаете, неоднородно: оно имеет фокус, периферию и, наконец, границу, за которой начинается область неосознаваемого. И вот эта неоднородная картина сознания как бы накладывается на иерархическую систему сложного действия. При этом самые высокие этажи системы — наиболее поздние и наиболее сложные компоненты действия — оказываются в фокусе сознания; следующие этажи попадают на периферию сознания; наконец, самые низкие и самые отработанные компоненты выходят за границу сознания.

Надо сказать, что отношение различных компонентов действий к сознанию нестабильно. В поле сознания происходит постоянное изменение содержаний: представленным в нем оказывается то один, то другой «слой» иерархической системы актов, составляющих данное действие.

Движение в одну сторону, повторим, это уход выученного компонента из фокуса сознания на его периферию и с периферии — за его границу, в область неосознаваемого. Движение в противоположную сторону означает возвращение каких-то компонентов навыка в сознание. Обычно оно происходит при возникновении трудностей или ошибок, при утомлении, эмоциональном напряжении. Это возвращение в сознание может быть и результатом произвольного намерения. Свойство любого компонента навыка вновь стать осознанным очень важно, поскольку оно обеспечивает гибкость навыка, возможность его дополнительного совершенствования или переделки.

Между прочим, этим свойством навыки отличаются от автоматических действий. Первичные автоматизмы не осознаются и не поддаются осознанию. Более того, попытки их осознать обычно расстраивают действие.

Это последнее обстоятельство отражено в хорошо известной притче о сороконожке. Сороконожку спросили: «Как ты узнаешь, какой из твоих сорока ног нужно сейчас сделать шаг?» Сороконожка глубоко задумалась — и не смогла двинуться с места!

В психологии много внимания уделялось проблеме механизмов формирования навыка, которая, как вы уже хорошо понимаете, имеет большое практическое значение.

Бихевиористы, считавшие, что психология должна встать на службу практики и при этом заниматься внешними действиями человека и животных, очень много исследовали этот вопрос. Однако их теория и практика экспериментирования находились в рамках очень механистических представлений. Согласно этим представлениям навык вырабатывается за счет «проторения» путей в мозговых центрах в результате механического повторения, или «зазубривания», одного и того же действия. Об участии и роли сознания в этом процессе для бихевиористов, конечно, не могло быть и речи.

В советской психологии проблеме формирования навыков также уделялось большое внимание. Однако подход к этой проблеме был совсем другой. Он не был отягощен бихевиористским требованием исключения роли сознания; в результате был найден целый ряд очень важных и совершенно не вписывающихся в бихевиористскую схему механизмов.

Большой вклад в эту проблему внес советский физиолог Н. А. Бернштейн, об идеях которого я буду говорить более подробно позже. Сейчас лишь упомяну о том, что он выдвинул совсем другой принцип: «повторение без повторения», который означает, что при отработке навыка человек не затверживает одно и то же действие, а постоянно варьирует его в поисках оптимальной «формулы» движения. При этом сознанию принадлежит очень важная роль.

В доказательство того, что механическое заучивание гораздо менее эффективно, чем «сознательное», Н. А. Бернштейн приводит следующий факт из личных наблюдений. Надо сказать, что он был очень хорошим пианистом и использовал собственные фортепианные упражнения для анализа интересовавших его механизмов.

Так вот, будучи молодым человеком и экономя время, которое ему было жалко тратить на отработку фортепианной техники, он делал следующее: ставил на пюпитр книгу, читал ее, а в это время разыгрывал гаммы или этюды, тренируя пальцы. И вот после достаточно длительного периода таких занятий он с удивлением обнаружил, что никакого прогресса в технике нет! Тогда он оставил чтение и перешел на вдумчивую отработку техники, после чего сразу достиг заметных результатов.

Между прочим, к выводу о необходимости сосредоточения внимания на отрабатываемых движениях давно пришли педагоги и тренеры. Вы, наверное, знаете, что в спорте существуют приемы идеомоторной тренировки — тренировки движений в плане представления, при внешней неподвижности обучающегося.

Есть такой прием и в фортепианной педагогике: человеку предлагается разыгрывать пьесы тоническими нажатиями пальцев, без их подъема и пространственного перемещения, — вы просто кладете руки на плоскость и тоническими нажатиями «проигрываете» произведение. Если кто-нибудь из вас играет и хочет технически отработать сложную вещь, попробуйте этот способ. После того как вы час или два позанимаетесь таким образом, вы почувствуете необыкновенную усталость — гораздо большую, чем при реальной игре (а большая усталость говорит и о большей загрузке мозговых центров). Зато после такого двухчасового упражнения прогресс оказывается гораздо более заметным, чем при фазической, т. е. при внешнедвигательной игре.

Гимнастика йоги, по-видимому, имеет тот же смысл. Когда мы делаем упражнения, размахивая руками и ногами, то с большой вероятностью оберегаем свои моторные центры от излишней нагрузки; мы лишь формально проделываем движение, не задумываясь о его тонких деталях. В то же время, гимнастика йоги построена исключительно на тонических напряжениях мышц. Вся эта работа идет под сознательным контролем, идет интенсивно и приносит очень хорошие результаты.

Итак, выработка навыка — это процесс, идущий как бы с двух противоположных сторон: со стороны субъекта и со стороны организма. Мы произвольно и сознательно вычленяем из сложных движений отдельные элементы и отрабатываем правильное их выполнение. Одновременно, уже без участия нашей воли и сознания, идет процесс автоматизации действия. Этим мы обязаны уже собственно физиологическим свойствам и механизмам нашего организма. Он обладает таким замечательным даром: перенимать на себя в ходе автоматизации значительную часть работы, организуемой сознанием.

До сих пор наши примеры касались преимущественно двигательных автоматизмов. Возникает вопрос: а существуют ли автоматизмы в других сферах психической жизни человека, например в восприятии?

Да, конечно, существуют. Хорошо известно, что высшие формы зрительного или слухового восприятия требуют длительных упражнений. Именно в ходе длительной практики вырабатываются, например, такие способности, как «чтение» рентгенограмм, восприятие радиокода Морзе и др.

Но можно взять примеры из повседневной жизни. Попробуйте вспомнить, как вам слышалась иностранная речь на чужом когда-то языке: это был сплошной, нерасчлененный поток звуков. А после обучения этому языке вы стали воспринимать его совершенно иначе, четко выделяя слова и целые фразы. Этим вы обязаны образованию слуховых автоматизмов.

В нашем обычном восприятии мира трудно увидеть «черновую работу» неосознаваемых механизмов. Но с помощью специальных приемов она может быть обнаружена.

Дело в том, что иногда, будучи поставлены в необычные условия, перцептивные автоматизмы искажают восприятие, т. е. становятся причиной иллюзий, и тем самым себя обнаруживают. Приведу пример.

Перед вами оконная рама (рис. 3). Она называется «иллюзией окна», или «окном Эймса», по имени ее автора, американского психолога. Это плоская модель рамы, которая насажена на ось. Моторчик вращает ось и приводит раму в движение.

Итак, я задаю вам вопрос: как вращается это «окно»? Вы отвечаете: «То туда, то сюда», и это ваше вполне четкое впечатление. Так? Так!

Ну, а теперь я вам скажу, что это впечатление ошибочно: рама все время вращалась в одну сторону, по часовой стрелке. Не верите,? Да, трудно поверить: ведь вы отчетливо видели колебательные движения! И все-таки это так. А теперь разберемся, в чем тут дело.

Объяснение иллюзии надо начать с рассмотрения формы окна. Вы видите, что оно имеет форму трапеции. Основана эта иллюзия на очень сильном признаке глубины — линейной перспективе. В чем этот признак состоит? Он хорошо известен: если вы смотрите на уходящие вдаль рельсы, то они кажутся сходящимися, т. е. расстояние между ними кажется постепенно уменьшающимся.

Точно так же если вы смотрите на обычное окно в комнате под углом, то сторона, которая ближе к вам, выглядит большей, а та, которая дальше, — меньшей. Такая связь видимого размера и удаленности повторялась в вашем опыте многие тысячи раз на очень многих объектах. В результате теперь, когда вы видите одно из двух реально одинаковых тел меньше, то понимаете, что оно дальше, а точнее, видите его находящимся дальше. В этом и состоит суть обсуждаемого перцептивного автоматизма; его можно описать как «срабатывание» признака линейной перспективы.

Этот неосознаваемый процесс относится к группе автоматических актов, которые формируются без участия сознания. Уже маленькие дети фактически используют этот признак, не отдавая себе в нем отчета. Да и взрослые его непосредственно не осознают, а узнают о нем разве что из учебников психологии или руководств по проективному рисунку.

Итак, автор иллюзии использовал описанный перцептивный автоматизм — срабатывание признака линейной перспективы; это во-первых.

Во-вторых, он учел наш перцептивный опыт в отношении формы оконных рам, перцептивное «знание» того, что они прямоугольные, т. е. что их стороны одинаковые.

Главная «хитрость» его состояла в том, что он сделал окно непрямоугольным. В результате, когда окно поворачивается так, что его бо?льшая сторона оказывается к вам ближе, вы видите расположение окна правильно: большую сторону ближе, меньшую дальше. Когда же на вас начинает «находить» меньшая сторона, то ее размер (при убеждении, что стороны одинаковы) не позволяет «пропустить» ее вперед — и вы видите меньший край окна снова отходящим назад.

Механизмами такого рода много занимался Г. Гельмгольц. Для их описания он предложил термин «бессознательное умозаключение». Г. Гельмгольц подчеркивал, что слово «умозаключение» надо ставить в кавычки потому, что этот процесс подобен умозаключению только по результату: по природе же он отличается от истинного умозаключения, так как происходит бессознательно. Мы как бы рассуждаем, но на самом деле этого не делаем: за нас подобную работу производит неосознаваемый перцептивный процесс.

Например, в случае иллюзии окна процесс этот эквивалентен следующему умозаключению.

Известно, что когда одна из одинаковых сторон меньше, то она дальше (большая посылка).

Эта сторона — меньше (малая посылка).

Значит, она дальше (вывод).

Поскольку процесс протекает бессознательно, сознательные усилия изменить его не могут. Бессознательные умозаключения, по выражению Гельмгольца, «непреодолимы».

И действительно, сколько бы я вас ни убеждала, что на самом деле окно движется в одну сторону, сколько бы вы его не «трогали руками» (в буквальном или переносном смысле), вы все равно будете видеть его движение иллюзорно.

Спросим себя, а есть ли автоматические процессы в умственной сфере? Конечно, есть. Их так много, что сразу даже трудно выбрать какой-нибудь простой пример.

Лучше всего, наверное, обратиться к области математики. Именно там для нас наиболее очевиден процесс последовательного наслоения все более сложных действий, умений или знаний на автоматизированные предшествующие «слои». Уход более элементарных действий на неосознаваемый уровень сопровождается моментальным «усмотрением» того, что вначале требовало развернутого процесса мышления.

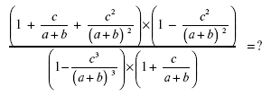
Рассмотрим такой алгебраический пример:

Чему равно это выражение? Одним словом, в ответе — единица. Так? Так. А теперь посмотрим, на что опиралось решение. Оно опиралось на непосредственное «ви?дение» того, что, например, в числителе имеется неполный квадрат суммы и разность квадратов, а в знаменателе — разность кубов; на знание их разложения; на моментальное использование правила сокращения одинаковых сомножителей в числителе и знаменателе; на знание того, что 1 — это и 12 и 13, и т. д. Все эти «ви?дения», «использования правил», «знания» — автоматизированные умственные действия, путь к которым состоял из многих и многих шагов, которые мы когда-то проделали, начиная с обучения в первом классе.

На этом мы заканчиваем знакомство с первым подклассом неосознаваемых механизмов и переходим ко второму — б) явлениям неосознаваемой установки.

Понятие «установка» заняло в психологии очень важное место, наверное, потому, что явления установки пронизывают практически все сферы психической жизни человека.

В советской психологии существует целое направление — грузинская школа психологов, которое разрабатывает проблему установки в очень широком масштабе. Грузинские психологи являются непосредственными учениками и последователями выдающегося советского психолога Дмитрия Николаевича Узнадзе (1886–1950), который создал теорию установки и организовал разработку этой проблемы силами большого коллектива.

Собственно теорию установки я с вами разбирать не буду: это большая и сложная тема. Ограничусь знакомством с явлениями неосознаваемой установки.

Прежде всего, что такое установка. По определению, это — готовность организма или субъекта к совершению определенного действия или к реагированию в определенном направлении.

Замечу, что речь идет именно о готовности к предстоящему действию. Если навык относится к периоду осуществления действия, то установка — к периоду, который ему предшествует.

Фактов, демонстрирующих готовность, или предварительную настройку организма к действию, чрезвычайно много, и они очень разнообразны. Как я уже говорила, они относятся к разным сферам психической жизни индивида.

Например, ребенок задолго до годовалого возраста, пытаясь взять предмет, подстраивает кисть руки под его форму: если это маленькая крошечка, то он сближает и вытягивает пальцы, если это круглый предмет, он округляет и разводит пальцы, и т. д. Подобные преднастройки позы руки иллюстрируют моторную установку.

Спринтер на старте находится в состоянии готовности к рывку — это тоже моторная установка.

Если вы сидите в темной комнате и со страхом ждете чего-то угрожающего, то иногда и в самом деле начинаете слышать шаги или подозрительные шорохи. Поговорка «у страха глаза велики» отражает явления перцептивной установки.

Когда вам дается какой-нибудь математический пример, выраженный в тригонометрических символах, то у вас создается установка решать его с помощью формул тригонометрии, хотя иногда это решение сводится к простым алгебраическим преобразованиям. Это пример умственной установки.

Состояние готовности, или установка, имеет очень важное функциональное значение. Субъект, подготовленный к определенному действию, имеет возможность осуществить его быстро и точно, т. е. более эффективно.

Но иногда механизмы установки вводят человека в заблуждение (пример необоснованного страха). Приведу вам еще один пример, на этот раз заимствуя его из древнекитайского литературного памятника.

«Пропал у одного человека топор. Подумал он на сына своего соседа и стал к нему приглядываться: ходит, как укравший топор, глядит, как укравший топор, говорит, как укравший топор. Словом, каждый жест, каждое движение выдают в нем вора.

Но вскоре тот человек стал вскапывать землю в долине и нашел свой топор. На другой же день посмотрел на сына соседа: ни жестом, ни движением не похож он на вора» (9, с. 271).

Именно «ошибки установки», которые проявляются в ошибочных действиях, восприятиях или оценках, относятся к наиболее выразительным ее проявлениям и раньше всего привлекли внимание психологов.

Надо сказать, что не всякая установка неосознаваема. Можно сознательно ждать страшного — и действительно видеть страшное, можно осознанно подозревать человека в краже топора — и действительно видеть, что он ходит, «как укравший топор».

Но наибольший интерес представляют проявления именно неосознаваемой установки. Именно с них и начались экспериментальные и теоретические исследования в школе Д. Н. Узнадзе (113).

Основные опыты, которые явились отправной точкой для дальнейшего развития концепции Д. Н. Узнадзе, проходили следующим образом. Испытуемому давали в руки два шара разного объема и просили оценить, в какой руке шар больше. Больший шар, предположим, давался в левую руку, меньший — в правую. Испытуемый правильно оценивал объемы шаров, и проба повторялась: снова в левую руку давали больший шар, а в правую — меньший, и испытуемый снова правильно оценивал объемы. Снова повторялась проба, и так раз пятнадцать подряд.[3]

Наконец, в очередной, шестнадцатой, пробе неожиданно для испытуемого давались два одинаковых шара с той же самой инструкцией: «сравнить их объемы». И вот оказалось, что испытуемый в этой последней, контрольной пробе оценивал шары ошибочно: он воспринимал их снова как разные по объему. Зафиксировавшаяся установка на то, что в левую руку будет дан больший шар, определяла, или направляла, перцептивный процесс: испытуемые, как правило, говорили, что в левой руке шар меньше. Правда, иногда ответы были такие же, как и в установочных пробах, т. е. что в левой руке шар больше. Ошибки первого типа были названы контрастными иллюзиями установки, ошибки второго типа — ассимилятивными иллюзиями установки.

Д. Н. Узнадзе и его сотрудники подробно изучили условия возникновения иллюзий каждого типа, но я не буду на них сейчас останавливаться. Важно другое — убедиться, что установка в данном случае была действительно неосознаваемой.

Непосредственно это не очевидно. Более того, можно предположить, что в подготовительных пробах испытуемые вполне осознавали, что идут однотипные предъявления, и начинали сознательно ждать такой же пробы в очередной раз.

Предположение это абсолютно справедливо, и для того, чтобы его проверить, Д. Н. Узнадзе проводит контрольный эксперимент с гипнозом.

Испытуемого усыпляют и в состоянии гипноза проводят предварительные установочные пробы. Затем испытуемый пробуждается, но перед тем ему внушается, что он ничего не будет помнить. Вслед за пробуждением ему дается всего одна, контрольная проба. И вот оказывается, что в ней испытуемый дает ошибочный ответ, хотя он не знает, что до того ему много раз предъявлялись шары разного размера. Установка у него образовалась и теперь проявилась типичным для нее образом.

Итак, описанными опытами было доказано, что процессы образования и действия установки изучаемого типа не осознаются.

Д. Н. Узнадзе, а за ним и его последователи придали принципиальное значение этим результатам. Они увидели в явлениях неосознаваемой установки свидетельство существования особой, «досознательной», формы психики. По их мнению, это ранняя (в генетическом и функциональном смысле) ступень развития любого сознательного процесса.

Можно различным образом относиться к той или иной теоретической интерпретации явлений неосознаваемой установки, но безусловный факт состоит в том, что эти явления, как и рассмотренные выше автоматизмы, обнаруживают многоуровневую природу психических процессов.

Перейдем к третьему подклассу неосознаваемых механизмов — в) неосознаваемым сопровождениям сознательных действий.

Не все неосознаваемые компоненты действий имеют одинаковую функциональную нагрузку. Некоторые из них реализуют сознательные действия — и они отнесены к первому подклассу; другие подготавливают действия — и они описаны во втором подклассе.

Наконец, существуют неосознаваемые процессы, которые просто сопровождают действия, и они выделены нами в третий подкласс. Этих процессов большое количество, и они чрезвычайно интересны для психологии. Приведу примеры.

Вам, наверное, приходилось наблюдать, как человек, орудующий ножницами, двигает челюстями в ритме этих движений. Что это за движения? Можно ли отнести их к двигательным навыкам? Нет, потому что движения челюстями не реализуют действие; они также никак не подготавливают его, они лишь сопровождают его.

Другой пример. Когда игрок на бильярде пускает шар мимо лузы, то часто он пытается «выправить» его движение вполне бесполезным движением рук, корпуса или кия.

Студенты на экзаменах часто очень сильно зажимают ручку или ломают карандаш, когда их просишь, например, нарисовать график, особенно если они в этом графике не очень уверены.

Человек, который смотрит на другого, порезавшего, например, палец, строит горестную гримасу, сопереживая ему, и совершенно этого не замечает.

Итак, в группу процессов третьего подкласса входят непроизвольные движения, тонические напряжения, мимика и пантомимика, а также большой класс вегетативных реакций, сопровождающих действия и состояния человека.

Многие из этих процессов, особенно вегетативные компоненты, составляют классический объект физиологии. Тем не менее, как я уже сказала, они чрезвычайно важны для психологии. Важность эта определяется двумя обстоятельствами.

Во-первых, обсуждаемые процессы включены в общение между людьми и представляют собой важнейшие дополнительные (наряду с речью) средства коммуникации.

Во-вторых, они могут быть использованы как объективные показатели различных психологических характеристик человека — его намерений, отношений, скрытых желаний, мыслей и т. д. Именно с расчетом на эти процессы в экспериментальной психологии ведется интенсивная разработка так называемых объективных индикаторов (или физиологических коррелятов) психологических процессов и состояний.

Для пояснения обоих пунктов снова приведу примеры.

Первый пример будет развернутой иллюстрацией того, как можно непроизвольно и неосознаваемо передавать информацию другому лицу.

Речь пойдет о «таинственном» феномене «чтения мыслей» с помощью мышечного чувства. Вы, наверное, слышали о сеансах, которые дают некоторые лица с эстрады. Суть их искусства состоит в действительно уникальной способности воспринимать у другого лица так называемые идеомоторные акты, т. е. тончайшие мышечные напряжения и микродвижения, которыми сопровождается усиленное представление какого-то действия.

Однажды мне довелось посетить сеанс В. Мессинга, одного из самых известных «чтецов мыслей», и я поделюсь с вами своими впечатлениями.

Его сеансы обычно проходили так. Из публики посылались в жюри записки с заданиями; жюри (составленное из зрителей) знакомилось с ними и приглашало автора одного из заданий на сцену, чтобы тот выступил в роли мысленного транслятора, или индуктора. Для этого он должен был, положив свою руку на предплечье В. Мессинга, усиленно думать о предстоящем действии. Индуктор предупреждался, что, если В. Мессинг будет делать не то, следует мысленно решительно говорить ему «нет»!

Нужно заметить, что круг задач, которые выполнял В. Мессинг, был достаточно ограничен. Перед началом сеанса его ассистент перечислял, что? Мессинг не берется отгадывать: он не воспроизводил задуманные тексты или стихотворения, не писал под диктовку, не отгадывал рисунки, ноты и т. п.

А что же он брался делать? Для примера приводились наиболее выдающиеся случаи его отгадок. Например, однажды Мессинг отыскал в зале задуманный ряд, подошел к зрителю, сидящему на определенном месте, вынул у него из кармана пиджака карманные шахматы, расставил фигуры заданным образом и сделал заданный ход. Или: нашел книгу, в ней — указанную страницу и прочитал задуманную строчку.

Пристальный анализ подобных задач показывает, что все они имеют «маршрутный» или «адресный» характер, т. е. требуют куда-то пойти, где-то остановиться, что-то куда-то передвинуть и т. п. И вот человек, усиленно думая о нужном движении, сам того не замечая, слегка подталкивает В. Мессинга в нужном направлении и останавливает в нужном месте.

Вы скажете: «Ну хорошо, «подтолкнуть» человека к тому, чтобы он сошел со сцены в зал, «провести» его по рядам, «остановить» около нужного ряда и места — это еще возможно. Но как же дальше? Как быть, например, с расстановкой шахмат?»

Отвечу: в подобных задачах Мессингу помогал дополнительный прием — совершение непрерывных пробующих движений, на каждое из которых он получал сигналы «разрешения» или «запрета».

Чтобы не быть голословной, поделюсь личным опытом: на уже упомянутом сеансе мне посчастливилось выступить в роли индуктора.

Задуманная мною задача состояла из нескольких простых действий. Сначала надо было, идя по сцене, описать траекторию восьмерки, обогнув последовательно стол жюри и стол ассистента, потом пройти тот же маршрут в обратном направлении, наконец, подойти к роялю на сцене, повернуть стул сиденьем наружу и сесть на него. Вот и все.

Надо сказать, что Мессинг начинал с того, что приводил индуктора в особое состояние. Он поставил меня перед собой — учтите, что все это происходило на сцене, на нас были направлены прожектора, а также взоры нескольких сот зрителей. К тому же сам Мессинг был очень возбужден; он «ел» меня глазами, делал перед моим лицом какие-то пассы, проводил руками по моим рукам, требуя расслабиться, и в то же время приказывал нервными отрывочными фразами: «Прошу вас, смотрите на меня, смотрите на меня, смотрите на меня! Думайте, думайте! Думайте, думайте!» Потом дал мне руку — рука сильно дрожала; я подумала, что, наверное, это тоже специальная мера, чтобы «раскачать» и мою руку и чтобы она лучше «транслировала» мои намерения.

Наконец, задав очень быстрый темп движения, он двинулся вперед, так что я за ним еле успевала.

Мы проделали половину «восьмерки», когда я решила, продолжая думать о задании, проконтролировать свою руку, чтобы она двигательного ничего не сообщала. Как только я приняла это решение, Мессинг сделал совершенно ненужную петлю, во время которой мы чуть вообще не сбежали со сцены. (Надо сказать, что подавляющее большинство задач до этого решались в зале, и он привык отправляться в зал.)

Только большими усилиями руки (уже вполне сознательными) мне удалось вернуть его на нашу «восьмерку».

Наконец, мы подошли к стулу у рояля — и здесь случилось нечто совершенно непредвиденное. На стуле случайно оказался кошелек, кем-то забытый. Кошелек никак не входил в программу, но Мессинг этого не мог знать. Он схватил кошелек и стал вертеть его в руках. Я «думала» изо всех сил, что ему не надо этого делать (что выражалось, как я чувствовала, в энергичных запрещающих сжатиях моей руки). Он, конечно, воспринимал эти сигналы, но продолжал искать в ложном направлении: побежал к своему рабочему столику, открыл кошелек и стал выкидывать все, что там лежало.

Здесь я уже совсем пришла в ужас, и изо всех сил транслировала ему «запрещения», но он только говорил: «Мне больно, мне больно!» — и продолжал действовать в том же духе. Среди прочих вещей в кошельке оказалась автобусная книжечка. Он ее то вкладывал, то выкладывал, а в конце концов начал отрывать от нее один билетик за другим (смотрите, какая изобретательность в поиске!).

Наконец, мне удалось почти буквально «оттащить» его назад к роялю. Надо сказать, что к этому моменту мне уже захотелось, чтобы все это поскорее кончилось. Я уже не следила за тем, чтобы не подавать знаков, наоборот, старалась подавать их изо всех сил.

Итак, мы подошли к стулу, и я стала «думать», чтобы он его повернул (делал такие несколько поворачивающие движения рукой).

И Мессинг начал действительно поворачивать стул, но, увы — вверх ногами! Я усиленно думала, что его надо повернуть не так, а вот так, но ничего не действовало. Он вертел его минуты три; наконец, стул оказался в нужном положении, и я резко расслабила руку.

Но еще не конец, и Мессинг это чувствовал. Теперь по программе записки, которая находилась перед глазами жюри, надо было сесть на стул. И вот эта задача оказалась самой трудной! Ведь она была «неадресной»! Нужно было придать определенную позу своему телу, и это-то как раз труднее всего было отгадать по мышечным усилиям моей руки.

И когда в ответ на мое усиленное думание Мессинг снова начал переворачивать стул вверх ногами, мне пришлось перейти на старый, проверенный способ передачи мыслей — сказать ему сквозь зубы: «Сядьте!» — и только тогда наше выступление закончилось.

Итак, еще раз: во-первых, большая активность и изобретательность при поиске нужного действия и, во-вторых, высокая чувствительность к идеомоторным сигналам — этих двух способностей достаточно для выполнения сложных «адресных» задач при так называемом чтении мыслей.

Теперь спросим себя: а происходит ли неосознаваемая передача информации в обыденной жизни, в профессиональной деятельности? Конечно, происходит. Вспомним некоторые виды спорта, которые требуют точного согласования движений партнеров, например, парное фигурное катание. Хотя этот вопрос и не исследовался специально, с большой вероятностью можно предположить, что удивительная слаженность у фигуристов достигается за счет взаимного восприятия мимолетных мышечных напряжений, перераспределений тонуса, незаметных подготовительных движений и т. п. Заметим, что сознание спортсменов обычно занято художественной стороной исполнения, так что взаимный обмен двигательной информацией, скорее всего, проходит на неосознаваемом уровне.

Возьмем другой пример: боксеры и фехтовальщики. Должны они уметь разгадывать готовящиеся удары противника? Обязательно должны. И вот та непрерывная двигательная активность, в которой находится фехтующий или боксирующий спортсмен, наверняка направлена не только на подготовку нужного движения, но и на маскировку его. Канал общения между противниками как бы забивается лишними движениями, и последние организуются как мера предотвращения невольной, неосознаваемой передачи информации.

Но сделаем шаг в еще более широкую область — повседневное общение людей друг с другом. Неосознаваемые и полуосознаваемые компоненты речевой моторики постоянно обнаруживают наши состояния и настроения. Ведь голос человека может приобретать массу оттенков: быть глухим, звонким, хриплым, металлическим, дрожащим, мягким, и всеми этими качествами он обязан тонической активности голосовых связок и артикуляционного аппарата. Она, как и напряжения руки, далеко не всегда осознается, особенно ввиду того, что главная функция речевых движений состоит в передаче смысла, и сознание занято преимущественно этой их стороной.

Важно подчеркнуть, что эмоционально-выразительные сопровождения подобных действий часто не осознаются не только лицом, «индуцирующим» сигналы этого рода, но и тем, кто их воспринимает.

Сколько раз вам, наверное, приходилось наблюдать, как один человек перенимает у другого позы, жесты, манеру говорить, совершенно не замечая этого. Способность неосознаваемых компонентов общения оказывать на другое лицо также неосознаваемое действие является одним из самых замечательных их свойств. Можно думать, что свойство это уходит корнями в биологические механизмы подражания и эмоционального заражения, которые играют ведущую роль в коммуникации животных.

Сказанного, наверное, достаточно, чтобы понять, почему в экспериментальной психологии издавна предпринимались попытки обнаружить, и по возможности зарегистрировать, неосознаваемые компоненты действий и состояний человека.

В качестве примера я приведу одно исследование, которое было проведено в 20-х гг. прошлого века молодым тогда психологом А. Р. Лурией, впоследствии ученым с мировым именем, профессором Московского университета.

В основу этого исследования был положен так называемый ассоциативный эксперимент, предложенный К. Юнгом для выявления скрытых аффективных комплексов. В таком эксперименте испытуемому обычно предъявляют длинный список слов, на каждое из которых он должен ответить первым приходящим в голову словом.

А. Р. Лурия внес в описанную методику следующую модификацию: он просил испытуемого вместе с произнесением ответного слова нажимать на очень чувствительный датчик (это была мембрана пневматического барабанчика). Таким образом, словесный ответ сочетался, или сопрягался, с моторной ручной реакцией, ввиду чего методика в целом и получила название сопряженной моторной методики А. Р. Лурии (69).

И вот что оказалось. Если предлагаемое слово было нейтральным, то через положенное время, в среднем спустя 2–3 секунды, следовал ответ (например, дом — окно, стол — стул) и запись моторной реакции имела острый пик, который означал уверенное нажатие на датчик. Если же предлагалось эмоционально окрашенное слово, то время речевой реакции увеличивалось до 10–25 и более секунд, но это было известно и раньше. Что же касается моторного ответа, то он тоже задерживался, но до явного нажатия в руке разыгрывалась своего рода «тоническая буря»: на записи руки можно было видеть подъемы и спады, снова подъемы, дрожь и т. п. Все это отражало «смятение» испытуемого в период подыскания подходящего ответа.

Эта методика была применена А. Р. Лурией к лицам, которые находились под следствием и подозревались в преступлении.

Вот один пример. Субъекту, причастному к убийству, дается слово «полотенце» (для него это значимое слово, так как во время преступления жертва при сопротивлении поранила ему руку и он оторвал кусок полотенца, чтобы перевязать рану). Следует период молчания в течение 7 секунд. Одновременно в моторной сфере наблюдается тоническое волнение — на записи медленно поднимается «горб» с неровной, колеблющейся формой; внешняя же реакция так и не наступает (69, с. 232).

В настоящее время высокая техническая оснащенность психологического эксперимента позволила изучить и применять в целях диагностики различных психических состояний человека (эмоционального возбуждения, напряжения, стресса, концентрации внимания и др.) десятки объективных индикаторов. Среди них и традиционные физиологические показатели, такие как пульс, частота дыхания, кровяное давление, электрическая активность мозга и такие недавно изученные индикаторы, как, например, микродвижения глаз, зрачковая реакция и др. Любопытные результаты были получены в одном американском исследовании, где для выявления эмоциональных состояний использовалась регистрация ширины зрачка.

Испытуемым-студентам (мужчинам и женщинам) предъявлялись картины различного содержания. Среди них были фигура обнаженного мужчины, фигура обнаженной женщины, изображение матери с ребенком и пейзаж.

Как видно на рис. 4, у испытуемых-мужчин ширина зрачка оказалась наибольшей при рассматривании фигуры женщины, а у женщин — при восприятии матери и ребенка. Кстати, с помощью этого метода оказалось возможным выявлять лиц-гомосексуалистов.

В целом в ходе исследований подобного рода обнаружилась следующая важная в теоретическом и практическом отношении закономерность. Когда перед человеком возникает задача овладения собственными выразительными реакциями, то он решает ее с разным успехом в отношении реакций различного типа.

Легче всего человеку удается контролировать внешние действия (слова, движения и пр.), заметно труднее — мышечную тонику (позу, мимику, интонацию). Наконец, на последнем месте оказываются такие вегетативные компоненты действий, как слезы, дрожь, изменения зрачка и т. п. Из сказанного ясно, что малоосознаваемые реакции могут быть наиболее информативными и, возможно, наиболее действенными в плане передачи эмоциональных состояний в процессе общения.

Более 800 000 книг и аудиокниг! 📚

Получи 2 месяца Литрес Подписки в подарок и наслаждайся неограниченным чтением

ПОЛУЧИТЬ ПОДАРОК