Мозг спортсменов-мнемонистов
Первой проникнуть в мозг спортсменов-мнемонистов отважилась уже в 2001 году в Лондоне та же Элеонор Магуайр. В тот момент она не нашла никаких признаков, которые отличали бы мозг мнемониста от мозга всех прочих смертных, но в то время в распоряжении Магуайр оказалось мало испытуемых и аппарат со слабым магнитным полем. Кроме того, за прошедшие с тех пор годы достижения мнемонистов стали намного более впечатляющими.
Я тоже должен констатировать: с точки зрения структуры мозга здесь действительно едва ли удастся выявить какие-то отличия. Иными словами, мозг спортсмена-мнемониста абсолютно нормален. Мой, между прочим, тоже. Я вместе со своим мозгом побывал в чреве разных магнитно-резонансных сканеров, причем множество раз. И даже на разных континентах. Поэтому могу со всей научной ответственностью заявить: мой мозг абсолютно нормален и ничем не отличается от мозга среднестатистического жителя планеты Земля. Вы мне не верите? В этой книге я не хочу обременять вас скучными научными подробностями, но иногда бывают полезны наглядные иллюстрации, например такая:

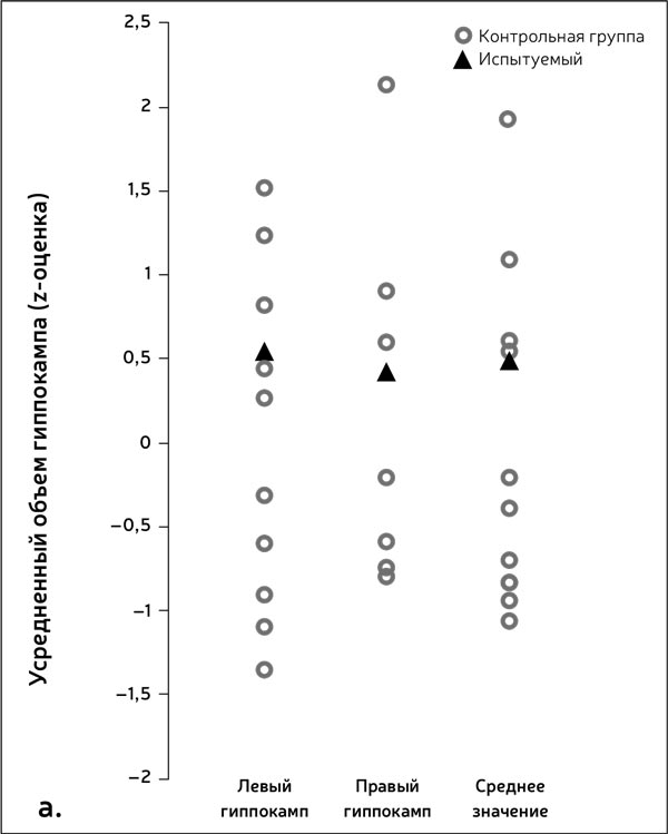
По книге М. Рамона и др. (2016). Сравнение размера моего гиппокампа (правого, левого и средней величины) с размером гиппокампа представителей контрольной группы
В ходе одного проведенного в Шотландии исследования на тему запоминания имен было проведено исследование моего гиппокампа. На представленной выше диаграмме мой гиппокамп обозначен треугольниками в сравнении с гиппокампами испытуемых из контрольной группы, обозначенными кружочками. Как видите, ничего особенного в нем нет. Вы разочарованы? Я же вам говорил.
Но откуда тогда взялись сведения о том, что у лондонских таксистов в мозге что-то сильно меняется, в то время как у мнемонистов – нет? Дело в том, что изучение карты города – это специфическая и однобокая задача. Помните копьеметателя из «Астерикса», который всю жизнь тренировал только правую руку? Она выглядела так, словно под кожу плеча он подложил средних размеров мяч. То же самое, если вам угодно, происходило и с мозгом таксистов. Мы же, спортсмены-мнемонисты, скорее похожи на Астерикса – после того, как он принял свой волшебный напиток! Мы тренируем память во всех отношениях, а вместо волшебных напитков применяем мнемонические приемы. Вместо того чтобы тренировать какую-то одну область мозга, спортсмены-мнемонисты тренируют различные системы запоминания, то есть системы обработки и хранения информации. Для того чтобы это подтвердить, мы в Мюнхене выполнили исследования нейронных сетей мнемонистов, а для лучшего контроля привлекли к исследованию контрольную группу лиц с обычной памятью.
Обычно в таких исследованиях в качестве испытуемых выступают студенты. Почему? Ну, видите ли, это легко, дешево, и к тому же студенты охотно соглашаются на участие в самых разнообразных исследованиях. Эта привычка заходит настолько далеко, что, проводя психологические исследования, профессора психологии привлекают к участию в них студентов-психологов, чтобы на основании исследований делать какие-то научные выводы, касающиеся опять-таки психологии. Сомнительно, что такой подход должен быть всеобщим, так как испытуемые, проявляющие профессиональный интерес к предмету исследования и методам его проведения, представляют собой весьма специфическую контрольную группу.
Для того чтобы мы могли полноценно сравнить спортсменов-мнемонистов с участниками контрольной группы, последние должны быть биологически похожи на первых. В идеале, конечно, надо было исследовать однояйцевых близнецов мнемонистов, которые сами мнемонистами не являются. Проведенный среди мнемонистов короткий опрос о том, есть ли у них близнецы, разочаровал нас – ни у одного спортсмена близнецов не оказалось. Мы продолжили поиск и отобрали в контрольную группу людей того же возраста, пола, уровня образования, а также уровня интеллекта.
Мы сравнивали строение нейронных сетей, связывающих между собой различные области и участки мозга, у спортсменов-мнемонистов и у членов контрольной группы. И тут мы наткнулись на настоящую золотую жилу! У спортсменов-мнемонистов более прочна и массивна связь между лобной долей и гиппокампом, а кроме того, нейронная сеть вообще гуще и лучше развита. Тем не менее каких-то особых хранилищ у мнемонистов выявлено не было, обнаружена лишь способность строить новые, улучшенные пути для более устойчивой связи между разными хранилищами, а также способность к лучшей упаковке информации и ее распределению. У людей с обычной памятью информация может храниться в одном хранилище, а у мнемонистов она распределяется, например, по нескольким хранилищам. Однако этот результат ничего не говорит о времени появления этих особенностей – то есть являются ли эти изменения результатом тренировки или они присутствуют до начала тренировок и являются залогом их успешности. То есть можно с полным правом предположить, что люди, у которых нейронные сети мозга развиты лучше, достигают в тренировке памяти больших успехов и становятся признанными мастерами этого вида спорта. Исходя из этих соображений, я предложил некоторым представителям контрольной группы приступить к тренировке памяти. Через шесть недель ежедневных тренировок по тридцать минут в день эти испытуемые могли запоминать в среднем вдвое больше чисел, слов или имен, чем до начала тренировок. Это поистине впечатляющий результат.
О том, что эти методы тренировки действительно работают, психологи знали и раньше. Но что при этом происходит в мозге? Мне захотелось это узнать. Фактически выяснилось, что хотя за шесть недель степень развития нейронных сетей все равно осталась у членов контрольной группы более низкой, чем у мнемонистов, но все же в мозге первых произошли изменения, которые сближали контрольную группу с группой мнемонистов!
Результаты исследований с активацией мозга показывают, что применение указанной методики стимулирует активность многих других областей мозга. При сравнении группы мнемонистов и контрольной группы было показано, что при запоминании у мнемонистов активируется большее число участков головного мозга, а в обучении участвует больше систем памяти. Особенно интересно следующее: у лиц контрольной группы при выполнении заданий, в ходе которых требовалось за максимально короткое время запомнить как можно больше чисел, активировались прежде всего отделы мозга, связанные с кратковременной памятью. Когда же мы предлагали мнемонистам припомнить числа, которые они видели всего несколько секунд назад, то у них активировались те отделы мозга, которые отвечали за припоминание чисел, виденных несколько дней назад. Это отчетливое указание на то, что при заучивании чисел мнемонистами эти числа сразу направляются в долговременную память, обходя обычный путь, по которому информация вначале недолго хранится в кратковременной памяти, прежде чем консолидироваться в памяти долговременной. Это непосредственно сказывается и на результатах: если на следующий день мы без предупреждения предлагали испытуемым воспроизвести числа из вчерашнего теста, то мнемонисты припоминали почти все числа, а представители контрольной группы, которые и без того накануне запомнили намного меньше чисел, демонстрировали почти тотальную забывчивость.
Более 800 000 книг и аудиокниг! 📚
Получи 2 месяца Литрес Подписки в подарок и наслаждайся неограниченным чтением
ПОЛУЧИТЬ ПОДАРОК