Функции следующего состояния
Как мы уже говорили в начале данной части, процесс изменения, которое осуществляется в ходе психотерапии, в наиболее общем виде можно представить следующим образом:
Психотерапевт (Состояние клиентаi) ? (Состояние клиентаi)
Хотя данная репрезентация вполне точна, она не имеет большой ценности для тех, кто практикует искусство психотерапии и изменения, поскольку представляет собой обобщение, слишком широкое для того, чтобы с его помощью можно было организовать и направить наше поведение в психотерапевтическом контексте. Как мы постоянно подчеркивали, говоря о таких понятиях, как модели мира, а также об опасностях, связанных с утратой перформатива, ценность любой репрезентации (математической, вербальной и т. д.) должна быть соотнесена с возможностями ее использования. Вопрос, на основании которого мы определяем ценность нашей работы, состоит не в том, насколько точными и истинными являются создаваемые нами модели, а в том, насколько полезны они оказываются, когда мы стараемся помочь клиентам обрести большую свободу выбора в тех областях поведения, в которых они хотели бы их иметь. Одновременно, разумеется, имеет значение вопрос, дают ли эти модели больше возможностей для выбора нам самим, помогают ли они нам стать более эффективными и динамичными психотерапевтами.
Кроме того, как мы тоже уже говорили, чтобы применять функциональную систему записи с пользой для дела, мы должны уметь идентифицировать:
1) множество связанных между собой (ассоциированных) переживаний (область определения и область значений);
2) закономерности (регулярности), присутствующие в том, как эти множества связаны между собой (функция, правило соответствия, или правило ассоциации, связывающее эти множества).
Одно из наиболее полезных понятий, которые мы использовали в своей работе, заимствовано нами из математики, а именно из области, известной как теория автоматов, теория абстрактных машин. Данный раздел математики тесно связан с современной теорией языка. Например, Ноам Хомский, основатель современной трансформационной лингвистики, разработал некоторые из своих доказательств, основываясь на теории автоматов. Понятие, которое мы собираемся ввести, уже неявным образом присутствует в представленном выше материале, – это понятие функции следующего состояния. В сущности, функция следующего состояния – это еще один способ описания функций. Проще говоря, если мы имеем некое состояние мира и некое действие, результатом этого действия окажется некое другое состояние мира. Соответственно, с точки зрения уже введенной нами системы обозначений функций, запись функции следующего состояния требует от нас только способности задать:
а) во-первых, множество переменных, которые адекватно, с точки зрения цели, которую мы ставим перед собой, применяя модель, описывают исходное состояние мира (или ту часть мира, которую мы намерены моделировать) – область определения функции; во-вторых, множество переменных, которые адекватно описывают множество возможных итоговых состояний мира, – область значений функции;
б) множество переменных, которые адекватно описывают множество действий, которые мы намерены понять и модель которых строим, – функция, или правило ассоциации, связывающее указанные выше множества.
Шестикортежный подход, развиваемый нами в нашей работе, – это первое приближение к набору переменных, которые послужат основой для адекватного описания формальной модели психотерапевтического изменения. К счастью, тот же самый набор переменных может послужить и в качестве адекватного дескриптивного словаря как для области определения, так и для области значений тех функций следующего состояния, которые мы нашли эффективными и в нашей психотерапевтической работе, и в работе по построению эксплицитных моделей мощных психотерапевтических техник известных психотерапевтов Вирджинии Сатир и Милтона Эриксона (см. «Гипнотические паттерны М. Эриксона»). Как мы указали, когда вводили понятие мгновенного описания, каждая из шести переменных имеет достаточно небольшое число возможных значений. Поскольку число возможных значений невелико, шестикортежность показала себя в качестве чрезвычайно эффективной и мощной модели как в нашей собственной психотерапевтической работе, так и в процессе обучения на наших тренингах для психотерапевтов. Эти описания дают возможность людям, которые собираются стать психотерапевтами, так организовать свой опыт в сложной ситуации текущего непосредственного взаимодействия с клиентами, что это позволит им помочь своим клиентам достичь быстрого, прочного и удовлетворительного изменения. Теперь, используя нашу систему обозначений функций, мы можем усовершенствовать представленную выше излишне общую репрезентацию изменения, происходящего в результате психотерапии, и записать ее так:
f (I, R, O, S, I–F, M)c ?
f (I, R, O, S, I–F, M)c,
где перечисленные переменные шестикортежности имеют всю ранее определенную область изменения значений;/– это функция следующего состояния; подстрочный знак с указывает, что шестикортежность представляет собой мгновенное состояние клиента.
Таким образом, в соответствии с нашей моделью искусство психотерапевтического изменения подразумевает осуществление таких изменений индивида, которые можно адекватно описать средствами словаря шестикортежности.
Множество шестикортежностей, которые могут иметь место в области значений функции ?, – это собственное подмножество множества всех логически возможных комбинаций значений переменных, входящих в шестикортежность. Другими словами, результат психотерапевтической встречи ограничен определенными векторами, или мгновенными описаниями клиента. Это один из способов выразить ту мысль, что не всякое изменение считается в психотерапии успешным исходом, а скорее только определенные виды изменения. Конкретный способ формулировки ограничений, которые следует наложить на множество всех возможных мгновенных описаний, чтобы установить среди них приемлемые исходы (или следующие состояния) психотерапии, – это выполнение условий правильности для шестикортежности. Например, в соответствии с нашей моделью следующее мгновенное описание клиента после психотерапевтического вмешательства не считается приемлемым или хорошо сформированным:
(_, _, K, 2, _, _).
Другими словами, если в итоге психотерапии мы получаем мгновенное описание, согласно которому клиента можно определить как «обвиняющего» с кинестетической выходной системой, это, в рамках нашей модели, не считается хорошо сформулированным результатом. Таким образом, представляемую нами модель можно конкретизировать далее в смысле области значений функции:
f (I, R, O, S, I–F, M) ? (Y),
где Y — это множество приемлемых шестикортежностей, задаваемых условиями правильности для мгновенных описаний.
Рассмотрим теперь область определения функции. В традиционных медицинских и психотерапевтических моделях область определения психотерапевтической функции – это множество синдромов, паттернов, симптомов или диагностических признаков. Если диагноз обладает какой-то ценностью в психотерапии, то лишь постольку, поскольку он определяет часто встречающиеся мгновенные описания клиентов, обращающихся за помощью, в то же время определяя множество уместных и эффективных приемов, или вмешательств, со стороны психотерапевта или врача. Разрабатывая данную модель, мы имели в виду оба этих критерия. В настоящее время мы не налагаем каких-либо ограничений на область определения функции, поскольку в множестве шестикортежностей нет таких известных нам логически возможных сочетаний, которые не могли бы осуществиться. Как мы уже неоднократно указывали в данном томе, имеются часто встречающиеся неправильные шестикортежности. Вот, например, одна из наиболее распространенных неправильных комбинаций:
(Ii, Rj, _, _, CE, _),
где i № j (то есть клиент, которому принадлежит данное описание, имеет нечеткую функцию – он репрезентирует опыт, поступающий к нему через один входной канал, средствами не связанной с этим каналом репрезентативной системы).
Метатактика, которую мы предложили бы в данном случае, состоит в том, чтобы помочь клиенту разрушить нечеткую функцию, предоставив ему возможность выбирать между вышеописанной нечеткой функцией, и:
(Ii, Rj, _, _, _, _),
где i = j.
Отметим, что в нашем последнем рассуждении мы начали процесс определения множества психотерапевтических функций – класса, представленного в нашей системе записи символом ?. Полное определение ? должно было бы представлять собой формализацию эффективных психотерапевтических маневров и вмешательств, направленных на получение приемлемого психотерапевтического изменения. Используя понятие функции следующего состояния:
? есть множество функций, таких что
f (X) ? (Y),
где X – это множество всех возможных шестикортежностей, Y– множество правильных шестикортежностей.
Если перевести это на описательный язык, ? представляет собой любое психотерапевтическое вмешательство, любое действие со стороны психотерапевта, если оно ведет к следующему состоянию, мгновенное описание которого удовлетворяет условиям правильности для шестикортежности. Вопросы метамодели, разработанные нами в первом томе «Структуры магии», представляют собой эксплицитный и адекватный набор психотерапевтических вмешательств на вербальном уровне. Данные вопросы определяют уместное вербальное вмешательство со стороны психотерапевта на множестве всей возможной вербальной продукции клиента (поверхностных структур клиента). Данные вербальные вмешательства чисто формальны, то есть не зависят от содержания. На уровне структуры шестикортежности разработанные нами метатактики работают так же, как вопросы метамодели работают на вербальном уровне. Рассмотрим, например, набор метатактик для работы с клиентом, демонстрирующим неконгруэнтную коммуникацию. Предположим, что мгновенное описание клиента выглядит следующим образом:
(_, K, _, 2, _, _)c.
Задача психотерапевта состоит в том, чтобы рассортировать эту одновременную неконгруэнтность, превратив ее в последовательную неконгруэнтность. Другими словами, нужно преобразовать приведенную выше шестикортежность в пару шестикортежностей, каждая из которых будет хорошо сформированной.

Если использовать термины, которые мы ввели в части, посвященной работе с неконгруэнтностью, психотерапевт должен рассортировать парасообщения на две конгруэнтные полярности.
В той же части мы приводили список метатактик, позволяющих осуществить правильную сортировку. Возьмем метатактику 1 – «режиссер-постановщик». Здесь психотерапевт, во-первых, дает клиенту вербальные инструкции и, во-вторых, использует кинестетический канал – придает телу клиента более конгруэнтную позу В данном случае значение ? представляет собой множество вербальных и кинестетических входных сигналов, идущих от психотерапевта к клиенту Другой вариант психотерапевтического вмешательства – использование техники проигрывания полярностей (которая также описана в разделе, посвященном неконгруэнтности). Имея дело с вышеописанной шестикортежностью, психотерапевт может таким образом организовать свои выходные каналы, чтобы исполнить одну из полярностей, частично проявляемых здесь клиентом, но сделать это более конгруэнтно и энергично, чем сам клиент. Например, психотерапевт может предъявить клиенту следующую шестикортежность:
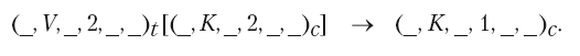
(_, V, _, 2, _, _)t,
где t – психотерапевт.
Результатом подобного исполнения полярности психотерапевтом станет переход клиента в противоположную полярность, частично представленную в исходной шестикортежности:
(_, K, _, 1, _, _)c.
Используя предложенную нами систему обозначений функции следующего состояния, всю эту часть психотерапевтического вмешательства, когда психотерапевт идентифицирует и рассортировывает неконгруэнтные сообщения клиента, можно представить следующим образом:

Данный перевод психотерапевтической техники в формальную систему обозначений показывает одно важное обстоятельство, а именно, что адекватный словарь для описания множества психотерапевтических вмешательств (множества ?) будет включать тот же самый словарь, который выступает в качестве словаря для области определения и области значений множества функций ?.
Полная формализация психотерапии для каждого члена множества логически возможных шестикортежностей (то есть области определения функции) должна была бы задавать множество приемов, или вмешательств (множество ?) и конкретный результат, или следующее состояние клиента (ограниченное множество психотерапевтически правильных шестикортежностей), являющееся результатом действия каждого из членов/, определенных в качестве уместных для начального состояния, предъявляемого клиентом. Полная формализация психотерапевтического изменения представляет собой область исследований, в которых должны участвовать психотерапевты в ходе своей текущей работы. Для того чтобы результирующая формальная модель оказалась действительно полезной, она должна быть итогом действительного опыта работы с процессом изменения в контексте психотерапевтической практики. В данном разделе мы ставили перед собой цель создать такие системы обозначений с использованием такого словаря, чтобы это могло помочь психотерапевтам организовывать и передавать свой опыт способом, который непосредственно помогал бы им совершенствовать свои психотерапевтические навыки и, в конечном итоге, способствовал разработке полной формальной модели изменения, позволяющей адекватным образом удовлетворить нужды людей, приходящих к нам за помощью. В следующем разделе мы представим пример эффективного психотерапевтического изменения, в ходе которого психотерапевт использует некоторые метатактики, описанные нами выше, и параллельно осуществляет формализацию психотерапевтического вмешательства с помощью только что предложенной нами системы формальных обозначений. Мы надеемся, что это послужит руководством к действию и станет первым шагом в построении полной формальной модели психотерапевтического изменения.
Применение системы формальных обозначений в качестве инструмента психотерапии.
Ниже представлена формальная репрезентация некоторой части полной психотерапевтической сессии. Цель заключается в том, чтобы помочь вам адаптировать эту систему для вашей собственной работы, идет ли речь о психотерапевтической практике, исследовательской деятельности или теоретических изысканиях. Мы хотим продемонстрировать вам, что данная формальная система обозначений способна послужить в качестве диагностического инструмента, одновременно предоставляющего в распоряжение психотерапевта стратегию, которой он может руководствоваться в своем поведении и которая, к какой бы психотерапевтической школе он ни принадлежал, поможет ему разработать эффективный план для достижения клиентом желаемого изменения и появления у него необходимых ему возможностей выбора.
Том был направлен для прохождения курса психотерапии его куратором из управления по надзору. Он – «подросток с делинквентным поведением», отбывавший условный срок за избиение своей сестры, да и вообще любого, с кем он был в состоянии справиться. Достаточно странно, что, испытывая сильное раскаяние по поводу своих действий, он продолжал воровать и драться, после чего просил прощения. Он был одним из тех, кого нам приводили в качестве «трудного случая» наши друзья – психотерапевты, которые, по-видимому, были рады любой возможности проверить нас. Нам, однако, показалось, что мы получили здесь прекрасную возможность продемонстрировать друзьям ценность формальной системы обозначений (по поводу которой они просто откровенно хихикали) и в то же время, если сумеем, помочь Тому. Мы спросили Тома, согласен ли он принять участие в демонстрационной сессии. Он согласился и вообще произвел впечатление человека, который искренне хочет справиться со своими «проблемами». В начале сессии авторы попросили Тома рассказать, что, как он считает, ему следует изменить в себе. Пока он говорил, мы записали на доске его мгновенное описание:
1. (V, K, D, 2, C.E., _)c.
Определив, что данное описание является неправильным, один из нас обратил внимание присутствующих психотерапевтов на то, что переменные R и S имеют значение К и 2 соответственно, а переменные I и R имеют значения V и К соответственно, и сказал, что имеется выбор: либо применить обратную функцию с использованием вопросов метамодели, либо разрабатывать новые репрезентативные системы. Затем автор принял еще одно решение – он выбрал в качестве тактики функции следующего состояния тактику под названием «проигрывание полярностей». Для этого он взял часть описания Тома и применил его по отношению к Тому в качестве функции следующего состояния.
2. (_, _, Dv, 2, _, _)t [(V, K, D, 2,C.E., _)c],
где Dv означает, что психотерапевт использовал в вербальном выходном канале визуальные предикаты.
В результате этого описание Тома изменилось и приобрело вид:
3. (V, K, D, 1, MR, V)c.
Теперь, имея два мгновенных описания, авторы объяснили, каким образом можно, основываясь на них, сделать выбор между прямым созданием новых репрезентативных систем и применением обратных функций метамодели. Можно было бы создать двойную связь. В принципе, были доступны несколько возможностей, но наиболее очевидное решение состояло в том, чтобы рассортировать множества векторов на полярности с использованием любой из соответствующих техник, описанных в данном томе. Мы решили использовать пространственную сортировку полярностей, поскольку ведущей репрезентативной системой у нашего клиента была кинестетическая, и, соответственно, данную технику было проще всего использовать. Мы поставили два стула друг напротив друга, как принято в гештальт-терапии, используя пространственную локализацию, сортировку по категориям Сатир и предикаты репрезентативных систем в качестве показателей правильной сортировки парасообщений и их максимального разделения.
В результате сортировки были получены две последовательно выражаемые полярности:
(V, V, Di, 2, C.E., _)
и
(V, K, Dj, 1, MR, _),
где Q(Di) № Q(Dj).
Получив две хорошо сформулированные полярности, авторы объяснили присутствующим, какие возможности решения доступны им при переходе к третьей фазе работы с полярностями – фазе интеграции. Здесь обе полярности должны быть отображены в одну и ту же репрезентативную систему. Разумеется, это можно сделать несколькими способами в нескольких репрезентативных системах. Однако функция следующего состояния, которую мы должны использовать, чтобы обеспечить это отображение, будет иметь одни и те же формальные характеристики независимо от выбранной нами техники. Формальная запись этой функции сама по себе может подсказать целый ряд подходов. Например, поскольку:
(_, V, _, _, _, _)
и
(_, K, _, _, _, _),
мы могли бы отобрать для работы в третьей фазе неиспользуемую репрезентативную систему. В этот момент авторы прервались на некоторое время, чтобы сделать обзор происходящего процесса и предложить наблюдателям несколько стратегий выбора оптимальной техники для отображения полярностей в репрезентативную систему, где между ними будет установлен контакт, и для перевода клиента в метапозицию. В общем, мы посчитали, что поскольку ведущей репрезентативной системой Тома является кинестетическая система (К), а его способность к восприятию визуальной информации развита плохо, постольку отображение в визуальную репрезентативную систему (V) окажется затруднительным. Выполнить отображение в кинестетическую систему (К) было бы совсем нетрудно, однако выбор другой репрезентативной системы мог обеспечить развитие у Тома нового способа репрезентации опыта. Мы полагаем, что если только входной канал не перекрыт полностью, информация, поступающая по этому каналу, отображается в связанной с ним репрезентативной системе, даже если она никак не связана с полярностями и поведенческими стратегиями, над которыми мы работаем непосредственно в данный момент. Поскольку наиболее правильной функцией в психотерапии является та, которая приводит к появлению конгруэнтного мгновенного описания, или вектора, мы решили попытаться осуществить так называемую сложную интеграцию (интеграцию, которая не ограничивается решением проблемы, связанной с одним поведенческим паттерном, а открывает перед клиентом множество каналов роста и развития потенциала). Наша стратегия была очень простой: отобразить полярности Тома в К, одновременно через D и А, в результате чего должна появиться одновременная репрезентация, то есть метапозиция. Одновременная репрезентация в К может оказаться довольно неприятной. Если для вас характерны процессы «вижу-чувствую» и «слышу-чувствую», вы сами могли заметить это, наблюдая, как спорят друг с другом в ходе психотерапевтического сеанса муж и жена. В целях драматического доказательства (авторы, будучи в душе артистами, прекрасно понимают, что лишь драматические доказательства могут побудить клиницистов решиться на преодоление трудностей, связанных с усвоением новых техник и новых способов подхода к психотерапии), мы решили, что каждый из нас сыграет одну из полярностей Тома, как если бы мы были частями его самого. Причем мы будем делать это одновременно и более энергично, чем мог бы сделать он сам. Спокойным тоном мы объяснили ему следующее:
Психотерапевт. Том, ты понимаешь, что есть две части тебя самого. Одна из них сидит на этом стуле, она злится и кричит. Она хочет, чтобы ты умел постоять за себя и не позволял другим тобой помыкать. Она видит, как с тобой происходят разные вещи, которые ей не нравятся, и она говорит тебе, чтобы ты дрался и не был маменькиным сынком… Правильно?
Том. Да.
П. И есть другая часть тебя самого, вот она, там. Она иногда боится и чувствует, что нехорошо обижать людей, нехорошо говорить им гадости и оскорблять их чувства. Она говорит тебе, чтобы ты просил прощения и был хорошим парнем, чтобы люди тебя любили, верно?
Т. Да, у меня есть обе эти части, и они борются друг с другом, как делал я, когда сидел на этих двух стульях, только они делают это у меня в голове, пока у меня, наконец, не кончается терпение. Тогда я делаю что-нибудь не так, и снова нарываюсь на неприятности. И я же знаю, что не должен этого делать, и все остальные мне говорят, что я знаю, но я просто теряю контроль, я не могу справиться с этим (указывает на стул полярности «обвинитель») – и бац! Тут появляется этот (указывает на стул полярности «заискивающий») и говорит мне, чтобы я просил прощения, обзывает меня по-всякому (обратите внимание на сдвиг в употреблении предикатов), и все думают, что я псих.
П. Ты вовсе не псих, и я думаю, что нам удастся помочь тебе справиться с этим, если ты сумеешь выдержать одну вещь, которая, возможно, покажется тебе немного необычной и немного пугающей. Джон будет играть твою часть, которая сердится, вот ту, а я – часть, которая приказывает тебе просить прощения и быть хорошим мальчиком, вот эту. Будешь играть с нами? Обещаешь остаться с нами до конца?
Т. Конечно, если вы думаете, что это поможет.
П. Хорошо.
И оба автора внезапно, без всякого предупреждения начали, к удивлению Тома, ругаться, как это делал сам Том, когда его полярности были сначала пространственно разделены, а потом максимально возможным образом рассортированы в хорошо сформулированную пару векторов.

Авторы играли в гипертрофированной манере, они оба одновременно требовали, чтобы Том слушал только их, уступал их требованиям, и не обращали внимания друг на друга.
В сущности, Том, таким образом, оказывался в метапозиции, воспринимая обе свои полярности одновременно через каждый входной канал и через связанную с этим каналом репрезентативную систему.

где i ? j.
Теперь контакт между полярностями был обеспечен, и была достигнута метапозиция. В результате Том отреагировал чисто аудиальным сообщением, поступающим по соответствующему выходному каналу, – это был пронзительный вопль и дигитальное: «Дазаткнитесь, вы!» Следующим шагом должны были стать окончательная перекодировка и интеграция.
Авторы начали настойчиво требовать, чтобы Том взял их под контроль как свои части, или они возобновят одновременное исполнение обеих полярностей и будут добиваться, чтобы он выслушал каждого из них и занял центральную позицию, служа для них посредником, чтобы он осознал ресурсы каждого из них и чтобы он признал, что обе части нужны ему для равновесия, и сам строил жизнеспособную структуру, в которой каждая часть будет иметь свободу самовыражения.
Таким образом, Том перекодировал свои части, превратив их из источника проблем в ресурсы, позволяющие ему справляться с задачами, которые ставит перед ним жизнь. После вербальной перекодировки каждой части была осуществлена их интеграция в кинестетической системе. С этой целью авторы попросили Тома взять от каждого из них определенные способности, по одной в каждую руку, а затем осторожно сплести кисти рук и сделать так, чтобы взятые способности разошлись по всему его существу (по телу, глазам и т. д.). Разумеется, перекодировка на самом деле происходит не снаружи, не в руках клиента, однако данное кинестетическое действие сопровождается в неврологическом плане построением новой карты для территории, для которой раньше существовали две противоречивые карты. Полученные в итоге векторы представляют собой набор мгновенных направлений, вариантов выбора Тома:
(V, V, Dv, 2, C.E., _)c;
(K, K, K, 1, M.R., _)c;
(A, D, D, _, _, _)c.
Хотя это мгновенное описание не полностью хорошо сформулировано, тем не менее изменения, происшедшие в Томе, оказались довольно существенными для одного сеанса и были очевидны всем присутствующим на демонстрации. Данная сессия послужила адекватным примером того, как система формальных обозначений помогает прояснить, что именно происходит в процессе психотерапии, и одновременно служит в качестве ориентира, помогающего психотерапевту эффективным образом использовать имеющиеся в его распоряжении техники и стратегии для оказания помощи своим клиентам в процессе их изменения.
Более 800 000 книг и аудиокниг! 📚
Получи 2 месяца Литрес Подписки в подарок и наслаждайся неограниченным чтением
ПОЛУЧИТЬ ПОДАРОК