Запретная триада
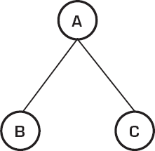
Теории тесных связей дают основу теориям отношений более высокого уровня. Одна из них – запретная триада. Триада – это любая группа, состоящая из трех человек. Например, на рисунке 1 люди обозначены буквами А, В и С. А имеет отношения и с В, и с С, но при этом между С и В нет никаких отношений.
В данной триаде возможны три типа связей (А и В, В и С, А и С). Например, А и В могут иметь сильную связь, А и С – слабую, а В и С вообще не имеют никаких отношений.
Явление запретной триады возникает, когда один человек имеет близкие отношения с двумя другими людьми, а они, в свою очередь, не имеют никакой связи. Рисунок 1 – пример такой триады.
Представьте двух людей, с которыми вы очень близки, проводите много времени, имеете эмоциональную связь, делитесь интимными моментами и оказываете помощь. При этом такая ситуация не очень приятна для тех двух людей, которые едва знают друг друга. Им вовсе необязательно иметь близкие взаимоотношения, но мы ждем, что между ними образуется хоть какая-то связь. Подобная ситуация настолько нежелательна, что Грановеттер назвал ее запретной триадой.[251]

Рисунок 1: Триада. В данном случае В и С связаны с А, но не имеют никаких отношения между собой
Конечно, такие триады часто появляются в реальной жизни, но многие разрешаются сами собой, когда между двумя бывшими незнакомцами формируется связь, и в «Звездных войнах» такое тоже случается постоянно.
Когда Оби-Ван отправил Люка учиться к Йоде, у Оби-Вана и Йоды были близкие отношения, даже несмотря на то, что они давно не виделись. Оби-Ван также имел тесную связь с Люком. В данной ситуации мы сталкиваемся с классическим случаем запретной триады. У ранее незнакомых Люка и Йоды просто не было возможности встретиться до этого. С развитием действия у Йоды и Люка возникают тесные взаимоотношения, и запретная триада исчезает.
Более 800 000 книг и аудиокниг! 📚
Получи 2 месяца Литрес Подписки в подарок и наслаждайся неограниченным чтением
ПОЛУЧИТЬ ПОДАРОК