14.5. Обидчивые и мстительные
Обидчивость как эмоциональное свойство личности определяет легкость возникновения эмоции обиды. У гордых, тщеславных, самолюбивых людей обострено чувство собственного достоинства, вследствие чего они расценивают как обидные самые обычные слова в их адрес, подозревают людей в том, что их намеренно обижают, хотя те даже и не думали об этом. У отдельного человека могут иметься особо чувствительные «пункты» обидчивости, с которыми он связывает наибольшую ущемленность чувства собственного достоинства и при задевании которых может дать бурную аффективную реакцию.
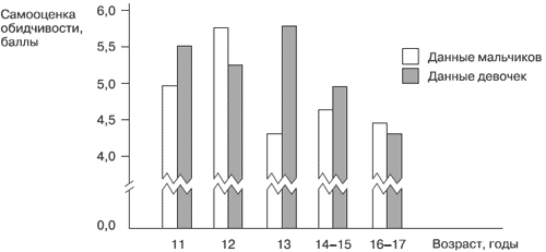
По данным П. А. Ковалева, изучавшего самооценку обидчивости у школьников 5–11-х классов, она наибольшая в период полового созревания, и в трех возрастных группах из пяти выше у девочек, чем у мальчиков (рис. 14.2). Обидчивость, по данным Ковалева, связана со склонностью к агрессивному поведению, причем эта связь более тесная у девочек по сравнению с мальчиками (табл. 14.3).

Рис. 14.2. Возрастная динамика обидчивости.
Таблица 14.3. Коэффициенты корреляции обидчивости со склонностью к агрессивному поведению.

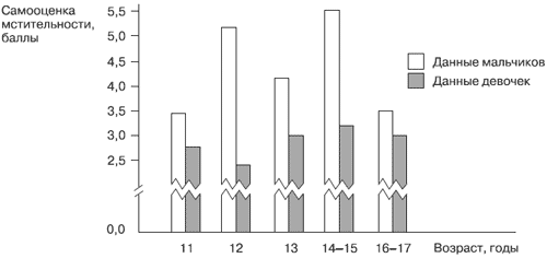
Мстительность – это склонность человека к мести, т. е. к агрессии в отплату за причиненное зло. Изучение мстительности П. А. Ковалевым у школьников 5– 11-х классов показало, что, во-первых, во всех возрастах мстительность у мальчиков выражена больше, чем у девочек, и во-вторых, наибольшая мстительность у мальчиков наблюдается в возрасте 12 и 14—15 лет (рис. 14.3). У девочек существенной возрастной динамики мстительности не выявлено. Между мстительностью и склонностью к агрессивному поведению, по данным Ковалева, в большинстве возрастных групп выявлена связь, причем более тесная – у девочек (табл. 14.4).

Рис. 14.3. Возрастная динамика мстительности.
Таблица 14.4. Коэффициенты корреляции между мстительностью и склонностью к агрессивному поведению.

Эти данные объясняют выявленный Нгуен Ки Тыонгом (2000) факт, что мстительность больше выражена у лиц, склонных к автократическому стилю руководства.
Более 800 000 книг и аудиокниг! 📚
Получи 2 месяца Литрес Подписки в подарок и наслаждайся неограниченным чтением
ПОЛУЧИТЬ ПОДАРОК