16.8. Возрастные изменения различных проявлений эмоциональности
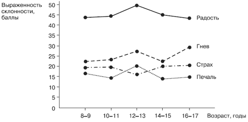
Возрастная динамика склонности к проявлению базовых эмоций. Данные, полученные М. С. Пономаревой (Е. П. Ильин, М. С. Пономарева, 2001) при опросе школьников, показывают, что во всех возрастных группах склонность к проявлению радости явно преобладает над склонностью к проявлению гнева, страха и печали (рис. 16.2). Склонность к гневу выражена несколько больше, чем склонность к страху и печали, а склонность к печали выражена меньше всего.

Рис. 16.2. Возрастная динамика выраженности склонности к проявлению базовых эмоций.
Динамика изменения с возрастом эмоций радости, гнева и печали практически одинаковая, а именно, наблюдается более выраженное их проявление в 12—13 лет, т. е. в период полового созревания. Противоположная тенденция в этот же период наблюдается в отношении страха: его выраженность уменьшается. Это совпадает с данными Н. Д. Скрябина (1974 б), выявившего, что наибольшее число смелых школьников приходится именно на период полового созревания.
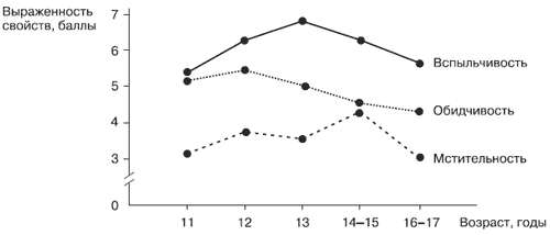
Возрастная динамика эмоциональных свойств личности. П. А. Ковалев (1996) изучил изменение с возрастом (с 5-го по 11-й класс) самооценки трех эмоциональных свойств личности: вспыльчивости (эмоциональной возбудимости), обидчивости и мстительности. Почти во всех возрастных группах выше всего школьники оценили у себя вспыльчивость, затем обидчивость и ниже всего – мстительность (рис. 16.3).

Рис. 16.3. Возрастная динамика эмоциональных свойств личности.
Самооценка вспыльчивости выше всего была у школьников 13 лет, обидчивости – у школьников 12 лет, а мстительности – у школьников 14—15 лет.
Подводя итог возрастных изменений эмоциональной сферы, можно отметить следующие моменты:
1) увеличение количества эмоциогенных объектов, особенно имеющих социальный характер;
2) возрастание дифференцированности эмоциональных переживаний;
3) возникновение эмоциональных переживаний не только по поводу настоящего, но и по поводу будущего;
4) появление способности отрывать экспрессивные средства от переживаний;
5) увеличение способности понимания эмоций других людей;
6) переход эмоциогенных реакций от импульсивности к произвольности.
Более 800 000 книг и аудиокниг! 📚
Получи 2 месяца Литрес Подписки в подарок и наслаждайся неограниченным чтением
ПОЛУЧИТЬ ПОДАРОК