16.10. Половые различия в эмоциональной сфере
Фактор пола в отношении эмоциональной сферы человека рассматривается во многих работах и в различных аспектах. Например, отмечаются стереотипы в восприятии и проявлении мужской и женской эмоциональности (женщины «имеют право» на выражение своих эмоций, а мужской стереотип поведения должен соответствовать сдерживанию эмоциональных проявлений). Эмоции делят на «мужские» (гнев, гордость и презрение) и «женские» (страх, тревога, печаль, смущение, стыд) (Fischer, 1993; Siegel, Alloy, 1990). Во многих исследованиях выявлено, что женщины превосходят мужчин и по склонности к плачу, и по частоте, интенсивности и длительности его проявления (Vingerhoets, Scheirs, 2000). Женщины больше, чем мужчины, стыдятся (Ferguson, Eyre, 2000). Соответственно, эмоциональные особенности закладываются в образы маскулинности и фемининности: женщины считаются более эмоциональными, чем мужчины. Например, отмечается, что cо второго года жизни девочки показывают более высокие уровни эмпатии, стыда и вины, чем мальчики (Zahn-Waxler et al., 1991). У девочек раньше появляется сензитивность к мимическому или паралингвистическому выражению эмоций других людей. Так, при выражении матерью страха годовалые девочки прекращают играть с игрушкой, а мальчики продолжают (Rosen et al., 1992).
У женщин выше невербальное выражение всех эмоций (Hall, 1984; Fujita et al., 1991; Gross, John, 1995; Fisher, Manstead, 2000). Женщины точнее, чем мужчины, оценивают невербальную экспрессию (в отношении вербальной экспрессии различий нет) (Hall et al., 2000)[97]. Женщины склонны обсуждать эмоциональные переживания и их проявления (Thomas, 1996), что обнаруживается уже в раннем детстве и сохраняется в течение всей жизни (Fivush, Buckner, 2000). Они более склонны раскрывать другим свою эмоциональную сторону жизни (правда, это касается только общения с женщинами или с мужчиной, с которым женщина находится в близких отношениях (Dindia, Allen, 1992). Проявление же эмоций лицами мужского пола подавляется родителями и взрослыми, начиная с раннего детства. В связи с этим Ливент (Levant, 1995) ввел понятие «ограничительная эмоциональность», понимая под ней склонность мужчин ограничивать свои эмоциональные проявления и более низкий у них уровень распознавания и описания своих переживаний. Многие мужчины, особенно с наличием так называемого «маскулинного поло-ролевого стресса», затрудняются выражать свои нежные чувства, боятся последствий выражения своих эмоций и испытывают трудности при столкновении с ранимостью других людей (O’Neil et al., 1995; Saurer, Eisler, 1990). Как отмечает Ш. Берн (2001), это приводит к снижению самооценки и потере интимности в отношениях.
Л. В. Куликов (1997) отмечает, что у женщин эмоциональная сфера дифференцированнее и сложнее, чем у мужчин.
Важным является выяснение вопроса о природе половых различий в эмоциональной сфере мужчин и женщин. До сих пор не ясно, являются ли хотя бы некоторые из них врожденными, или все эти особенности приобретаются в процессе специфичного воспитания мальчиков и девочек.
Е. Маккоби и К. Джеклин (E. Maccoby, C. Jacklin, 1974) на основе анализа ряда экспериментальных исследований пришли к выводу, что в первые годы жизни нет различий в частоте и продолжительности отрицательных эмоциональных реакций у мальчиков и девочек, но с возрастом их частота и интенсивность у мальчиков возрастают, а у девочек – убывают. Это они объясняют тем, что девочки, имея те же агрессивные тенденции, что и мальчики, боятся проявить их из-за наказания, в то время как к агрессии мальчиков окружающие относятся более благосклонно. Имеются также данные, что при получении непривлекательного подарка девочки-дошкольницы выражают меньше негативных эмоций, чем мальчики того же возраста (Cole, 1986; Davis, 1995).
К. Хорни (1993) пишет, что в соответствии с разделением социальных ролей сформировался определенный взгляд на женщин как на инфантильные создания, живущие эмоциями. По этому поводу еще К. Батюшков писал: «Любить или ненавидеть! – им (женщинам. – Е. И.) надобна беспрестанная пища для чувств»[98]. Это находит подтверждение и в некоторых исследованиях. Так, В. А. Чикер с соавторами (1998) выявили, что для девочек старших классов социальная среда оказывается более насыщенной эмоциональными событиями, имеющими стрессогенное значение, чем для мальчиков. Различия в эмоциональной сфере мужчин и женщин многие психологи связывают именно с особенностями воспитания тех и других. Р. Сальваггио (1996) отмечает, что у женщин весьма желательны эмоциональная зависимость от противоположного пола, погруженность в «любовь» при запрете на открытое выражение чувств, проявление агрессии. Это создает у женщин мазохистскую установку. В то же время для мужчин все это достойно насмешек и позора. Согласно К. Юнгу, у мужчины в процессе его воспитания чувствования подавляются, в то время как у девочек они доминируют.
B ряде исследований показано различное эмоциональное отношение родителей к дочерям и сыновьям. Как матери, так и отцы более склонны выражать свою привязанность (объятия, поцелуи, держание за руку) к дочерям (Block, 1984), матери чаще им улыбаются (Malatesta et al., 1989), одобряют их застенчивость (Radke-Yarrow et al., 1988). У мальчиков же поощряется выражение гнева и агрессии и не поощряется выражение печали, тревоги, страха, что, якобы, готовит их к будущей роли конкурентоспособных добытчиков, завоеванию высокого статуса, власти и высоких индивидуальных достижений (Brody, 1999).
Развитие способности понимать и выражать эмоции происходит у девочек, в отличие от мальчиков, в связи с развитием навыков общения (Custrini, Feldman, 1989).
Различия по тревожности. Во многих работах отмечается большая тревожность женщин по сравнению с мужчинами (см., напр., обзор работ зарубежных исследователей[99]), причем это различие начинает проявляться с детства. У младших школьников, по данным Л. П. Баданиной (1996), наблюдаются различия между мальчиками и девочками по ряду эмоциональных состояний, в том числе и по показателям тревожности: у мальчиков она ниже, чем у девочек. Автор связывает это с тем, что девочки с большей осознанностью воспринимают роль школьника. Мальчики и девочки также различаются по доминирующим причинам тревожности (автор называет их видами тревожности). У девочек школьная тревожность доминирует в 7–9 лет, а в 10 лет уступает свое место самооценочной тревожности. У девочек младших классов на фоне меньшего количества невротических реакций, чем у мальчиков, чаще отмечаются неустойчивость настроения, капризность, плаксивость, грусть, тоска, застенчивость, боязливость, подверженность страхам, повышенная обидчивость. У мальчиков 7 лет доминирует межличностная тревожность, школьная тревожность преобладает в 8–9-летнем возрасте. При этом у мальчиков уже в 9 лет показатели самооценочной тревожности начинают сравниваться с показателями школьной тревожности. На фоне большего количества невротических реакций у мальчиков младших классов наблюдается агрессивность, драчливость, гиперактивность.
A. М. Прихожан (2000) отмечает, что различия между мальчиками и девочками по тревожности имеются лишь в 12-летнем возрасте. В старшем подростковом возрасте (14—15 лет) различия между ними не обнаруживаются, а в возрасте 16—17 лет снова более тревожными оказываются девочки.
B. Д. Кузакова (1975) выявила у здоровых мужчин высокую тревожность в 14% случаев, а у женщин – в 21% случаев. Те же соотношения оказались и у тугоухих (соответственно, 26 и 43%). И лишь у глухих количество лиц с высокой тревожностью у мужчин и женщин оказалось одинаковым (39 и 35%). Различия между лицами разного пола по высокой тревожности выявлены в моем исследовании и на школьниках старших классов (рис. 16.4 и 16.5).
Обследование моими сотрудниками нескольких сотен спортсменов высокого класса показало, что у женщин, выступающих в игровых видах спорта, высокий нейротизм встречается значительно чаще, чем у мужчин – представителей тех же видов спорта (соответственно, у 34 и 12%). Низкий же нейротизм чаще встречается у мужчин-спортсменов, чем у женщин-спортсменок (соответственно, у 34 и 13%).
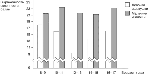
Различия в склонности к переживанию базовых эмоций. Л. В. Куликовым выявлены значимые половые различия в самооценке печали, тревоги и вины. Сравнение склонности к переживанию базовых эмоций у школьников и школьниц разного возраста, проведенное М. С. Пономаревой, показало, что у девочек и девушек во всех возрастных группах склонность к страху выражена значительно больше, чем у мальчиков и юношей (рис. 16.6).

Рис. 16.4. Половые различия по личностной тревожности.

Рис. 16.5. Половые различия по нейротизму.
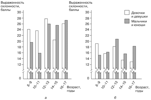
Интересная возрастная динамика выявлена М. С. Пономаревой (Е. П. Ильин, М. С. Пономарева, 2001) в отношении склонности к переживанию гнева и печали. Чем младше школьники, тем склонность к переживанию этих эмоций больше выражена у лиц мужского пола, и чем старше школьники, тем больше выражены эти склонности у лиц женского пола (рис. 16.7).
Склонность к радости не обнаружила четкой возрастной динамики: в 8–9, 12—13 и 16—17 лет она выражена у мальчиков и девочек одинаково, а в возрасте 10—11 и 14—15 лет она выражена больше у девочек.
Как показано К. Н. Сухановой (2001), мужчины чаще сдерживают проявление эмоций, чем женщины (60% против 40%) и больше нуждаются в эмоциональном участии (100 и 60%). При этом представители сильного пола чаще игнорируют эмоциональные проблемы (80% против 30%). Женщины чаще сохраняют эмоциональную безучастность в отношениях (60% против 40%). Автор приходит к выводу, что у мужчин эмоциональные проблемы маскируются или даже отрицаются на уровне самооценки.

Рис. 16.6. Склонность к переживанию страха у лиц мужского и женского пола.

Рис. 16.7. Склонность к переживанию гнева и печали у лиц мужского и женского пола: а – склонность к гневу, б – склонность к печали.
Различия в эмоциональных отношениях к другим. Среди дружащих девочек отношения более доверительные, чем среди мальчиков (Rubin, 1983). У девочек близкие дружеские отношения с противоположным полом завязываются раньше, чем у юношей (Sharabany, Gershony, Hoffman, 1981).
Различия в свойствах эмоциональности. В литературе отмечается большая эмоциональная чувствительность и эмоциональная нестабильность женщин. Изучение этого вопроса В. Г. Пинигиным на школьниках и студентах с помощью оценок собственных жизненных проявлений выявило, что лица женского пола явно превосходят лиц мужского пола во всех возрастных группах по эмоциональной возбудимости (это соответствует приведенным ниже данным П. А. Ковалева о большей вспыльчивости лиц женского пола), в меньшей степени – по интенсивности, еще в меньшей степени – по длительности сохранения эмоций и эмоциональной устойчивости (рис. 16.8).

Рис. 16.8. Различия в свойствах эмоциональности у лиц женского и мужского пола.
Различия в эмоциональных свойствах и типах личности. Лица женского пола уделяют значительное большее внимание эмоциональным аспектам межличностных отношений и своим переживаниям. Считается, что они более эмпатичны. Однако авторы, изучавшие этот вопрос на детях 10—12 лет (Eisenberg, 1989; Eisenberg et al., 1987), полагают, что это происходит потому, что девочки морально созревают раньше, чем мальчики.
По данным П. А. Ковалева (1996), у лиц женского пола больше выражена вспыльчивость (эмоциональная возбудимость).
В отношении обидчивости существенных половых различий, по данным Ковалева, не выявлено, однако по данным С. В. Афиногеновой (2007), обидчивость больше выражена у лиц женского пола.
По данным А. А. Плоткина, как у мужчин, так и у женщин распространен эмоциональный тип, когда доминирует радость при равенстве страха и гнева. Кроме того, у мужчин наиболее распространенной является структура, в которой гнев и радость преобладают над страхом, а у женщин наиболее распространенной является структура эмоциональности, в которой доминируют радость и страх. Эти данные согласуются с имеющимися в литературе данными о большей выраженности у мужчин прямой физической и вербальной агрессии (Ковалев, 1996, и др.). Одинаковую предрасположенность женщин к гневу и страху можно объяснить с позиций К. Изарда (1980), полагающего, что склонность к страху может уравновешивать предрасположенность к гневу, удерживая индивидов от агрессивных поступков и конфликтов или переводя их в более «мягкие» формы (например, в косвенную вербальную агрессию, которая, по данным П. А. Ковалева, преобладает именно у женщин). С другой стороны, гнев может служить защитой от страха, давать психологическую компенсацию и разрядку, повышая чувство уверенности в себе (Шибутани, 1969; Эберлейн, 1981).
В зарубежных исследованиях эмоциональные особенности женщин связывают с их социальным положением в обществе и рассматривают в двух плоскостях: как вину семейных работающих женщин и как страх женщин перед успехом.
Вина у семейных работающих женщин стала объектом пристального внимания западных психологов. Она является следствием внутриличностного конфликта, когда женщина стремится быть одновременно в двух ролях: хранительницы семейного очага и хорошего профессионала. Эти две роли предъявляют к женщинам противоречивые требования, часто им просто не хватает физических и психических ресурсов, чтобы хорошо исполнять и ту, и другую роль. Понимая это, женщина начинает переживать вину перед детьми, мужем, перед начальством на работе (Виткин, 1996; Berg, 1986; Barling, 1990), что может вылиться в психосоматические симптомы.
Чувство вины перед детьми (очевидно, особенно остро переживаемое, когда женщина после рождения ребенка возвращается на работу и как бы покидает его) продуцирует определенные паттерны поведения с ними, в частности – сверхкомпенсационное поведение, которое Л. Хоффманом было названо «подавляющей любовью». Сверхкомпенсация принимает разные формы. В одном случае мать, придя вечером с работы, пытается компенсировать ребенку весь день своего отсутствия плотным общением и заботой, выполнением всех его желаний, не давая ему возможности расслабиться. Вечером большинство детей после такой материнской опеки становятся психически «издерганными».
Другие формы – покупка ребенку большого количества игрушек, особенно если мать была в командировке или задержалась с работы. Б. Берг называет такое поведение «поведением для себя», так как игрушки нужны не столько ребенку, сколько матери, пытающейся загладить таким путем свою вину. Все это приводит в конечном итоге к неправильному воспитанию ребенка, к развитию у него несамостоятельности, тревожности и другим личностным искажениям.
Считается, что переживание вины делает женщину как мать менее эффективной. Ребенок, поняв, что мать испытывает перед ним вину, начнет манипулировать ею, специально вызывать у матери это эмоциональное переживание. Это, в свою очередь, может вызвать у матери гнев и даже ненависть к ребенку. К. Борман с соавторами (Borman et al., 1984) утверждают, что когда женщина винит себя за то, что она недостаточно хорошо справляется со своими материнскими обязанностями, ее общение с ребенком очень часто сопровождается многочисленными вспышками «беспричинного» гнева.
В отношениях с супругом чувство вины у работающей женщины может проявляться в отказе от помощи мужа в домашних делах. Женщина преднамеренно не просит мужа о помощи, чтобы «не разочаровать» его как хозяйка дома. Кроме того, женщина, испытывая вину перед детьми и мужем, подсознательно стремится отказаться от карьеры на работе, тем более что культурные традиции не одобряют жен, добившихся большего успеха по сравнению со своими мужьями. Этот феномен получил название «конфликт боязни успеха».
Наконец, чувство вины перед семьей заставляет женщину меньше внимания обращать и на себя, так как другие (дети и муж) остаются без ее внимания.
Страх женщин перед успехом. Ученица Дж. Аткинсона М. Хорнер (Horner, 1968) ввела в двухфакторную модель своего учителя (мотивацию достижения успеха – избегания неудачи) третий фактор – мотивацию избегания успеха. По ее представлениям, успех вызывает у женщин тревогу, так как ассоциируется с нежелательными последствиями – утратой женственности, потерей значимых отношений с социальным окружением. Успех в профессиональной сфере и в сфере значимых отношений (семья, друзья) представляется для женщины взаимоисключающим. Поэтому, отдавая предпочтение значимым отношениям, она начинает бояться успеха в профессиональной деятельности.
Хорнер считала страх успеха изначально присущей женской природе особенностью, тормозящей достижения женщин в любой сфере деятельности. Другие психологи видели в появлении страха успеха влияние внешних факторов (Breed-love, Cicirelly, 1974; Bremer, Witting, 1980; Monahan et al., 1974). В пользу последней точки зрения свидетельствует тот факт, что в тех ситуациях, где достижения приемлемы с полоролевой точки зрения, страх достижения успеха у женщин не появляется. К. Бридлов и В. Цицирелли показали, что страх успеха у женщин, занятых в медицине (сфере, не типичной для женщин), выше, чем у учителей (в сфере, типичной для женского пола). То же получено при сравнении женщин-инженеров с медсестрами. Страх успеха достигал максимума, когда женщина находилась на вершине инженерной иерархии и имела много семейных обязанностей.
Показано также, что страх успеха проявляется у женщин в меньшей степени, если они не составляют большинство в смешанной по половому признаку группе (Kanter, 1977) или если они работают в одиночестве.
Вопрос о страхе успеха стал привлекать внимание отечественных психологов только в последние годы (Турецкая, 1998).
Страх успеха возможен и у мужчин, когда род их деятельности не соответствует их гендерной роли (Yamauchi, 1989), а также в тех случаях, когда они не хотят вызвать зависть своих сослуживцев.
Более 800 000 книг и аудиокниг! 📚
Получи 2 месяца Литрес Подписки в подарок и наслаждайся неограниченным чтением
ПОЛУЧИТЬ ПОДАРОК