14.9. Тревожные
У многих людей имеется высокая тревожность, т. е. выраженное эмоциональное свойство личности, предрасполагающее к частым проявлениям состояния тревоги (беспокойства) в самых различных жизненных ситуациях, в том числе и таких, которые к этому не предрасполагают (Spilberger, 1966). В. С. Мерлин (1973) определяет тревожность как высокую эмоциональную возбудимость в угрожающей ситуации. По определению К. Изарда, тревожность понимается как комплекс отрицательных эмоций: страха, гнева и печали.
Определенный уровень тревожности – естественная и обязательная особенность активной деятельности личности. У каждого человека существует свой оптимальный, или желательный, уровень тревожности – это так называемая полезная тревожность.
Высокая тревожность проявляется в тенденции оценивать явления, предметы, события, объективно неопасные, как угрожающие, с последующим переживанием состояния тревоги. Тревожные люди боятся трудностей, чувствуют себя неуверенно в группе.
Некоторые авторы говорят не об общей тревожности, а о частной, специфической, связанной с постоянным реагированием состоянием тревоги только на определенные ситуации (Endler et al., 1962; Martens, 1977, и др.). Например, Д. Саразон (Sarason, 1972) ввел понятие «тестовой» тревожности, отражающей склонность к этому состоянию в ситуациях экзамена, тестирования. В других исследованиях говорится о частной личностной тревожности, связанной с публичным выступлением, общением, обучением плаванию, участием в соревнованиях, конкурсах и т. п.
Нейрофизиологические механизмы высокой тревожности до конца еще не выяснены. Предполагается, что тревожность связана с активностью лобных долей, так как лейкотомия (перерезка путей, связывающих лобные отделы полушарий с подкорковыми образованиями) снижает уровень хронической тревожности. Ч. Спилбергер подчеркивает роль субъективно-эмоциональных и вегетативных явлений.
Психологические и психофизиологические особенности высокотревожных.
О. Г. Мельниченко (1979) показала, что для высокотревожных характерны эмоциональная неуравновешенность (фактор С по Р. Кэттеллу), робость (фактор Н), неуверенность в себе (фактор О) и взвинченность, напряженность (фрустрированность – фактор Q4). У них более высокий и менее стабильный уровень притязаний. Со стороны биохимических показателей их особенностью является более высокий фоновый уровень лактата в крови.
По данным Р. Л. Астахова (2000), тревожность имеет связь с показателями шизотимии, покорности, озабоченности, сентиментальности, негативизма, подозрительности, страха.
Все эти личностные особенности имеют природную основу, в качестве которой выступают типологические особенности проявления свойств нервной системы. В свое время В. Д. Небылицын (1966) предполагал, что лица со слабой нервной системой более склонны к тревожности, чем лица с сильной нервной системой. Это нашло подтверждение в ряде исследований. Выявлено (Белоус, 1970; Ильин, 1976; Катыгин и др., 1979), что высокотревожные лица чаще имеют слабую нервную систему (табл. 14.5), следовательно, и высокую активацию в покое, которая связана, скорее всего, с возбуждающим влиянием на кору головного мозга ретикулярной формации. У высокотревожных найдена и большая, чем у низкотревожных, величина КГР в покое (Катыгин и др., 1979).
Таблица 14.5. Связь тревожности со свойством силы нервной системы (Е. П. Ильин, 1976).

Если в моем исследовании использовался опросник Г. Айзенка, то в работе Ю. А. Катыгина и др. (1979) использовался опросник Д. Тейлор (1953). У высокотревожных слабая нервная система была в 86% случаев против 64% у низкотревожных. Сильная нервная система была обнаружена в 14 и 36% соответственно. Кроме того, в этом исследовании было установлено, что высокотревожным чаще присущи инертность нервных процессов и преобладание торможения по «внешнему» балансу. Г. Б. Суворов (1981) подтвердил своим исследованием спортсменов-мужчин, что высокая тревожность связана с инертностью нервных процессов.
По моим данным, у лиц с высокой тревожностью (определявшейся по опроснику Ч. Спилбергера) более выражен мотив достижения (рис. 14.5).

Рис. 14.5. Личностная тревожность у лиц с разным уровнем мотива достижения.
Предприняты попытки выявить роль наследуемости тревожности как черты личности. Р. Кеттелл и И. Шейер (Cattell, Scheier, 1961) показали, что влияние среды проявляется гораздо сильнее и что лишь один фактор «Я», входящий в тревожность, существенно зависит от наследственности.
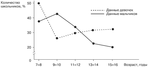
Возрастно-половые особенности тревожности. В исследовании Н. В. Бирюковой и др. (1976) было выявлено, что больше всего школьников с высоким нейротизмом (16 баллов и выше по опроснику Г. Айзенка) имеется у девочек в 7– 8-летнем возрасте, а у мальчиков – в 9–10-летнем возрасте. Затем число таких лиц уменьшается (рис. 14.6).
Наличие большого числа учащихся с высоким нейротизмом в младших классах, скорее всего, объясняется попаданием детей в новую непривычную обстановку, а последующее снижение числа таких учащихся – адаптацией к школьному обучению, которая, судя по полученным данным, быстрее происходит у девочек.
Эффективность общения у высокотревожных. А. В. Никитина (2000) изучала, какие проблемы в общении со сверстниками испытывают дети в возрасте 11 лет с высокой и низкой тревожностью. Оказалось, что первые дали наиболее высокие баллы по утверждениям: «Я не могу довериться своим друзьям полностью», «Бывает, что я не успеваю собраться с мыслями, мне трудно сформулировать мысль», «Меня не понимают», «Меня не понимает мой друг». Таким образом, высокая тревожность действительно создает проблемы в общении. По данным В. Р. Кисляковской, даже при эмоциональном благополучии тревожность ожиданий в общении имеет место у 45% подростков.
Эффективность деятельности тревожных. В отношении роли тревожности в успешности обучения разными исследователями получены неоднозначные результаты. Показано (Cattell, Scheier, 1961), что связь тревожности с успешностью умственной деятельности зависит от многих факторов: мотивации, трудности материала, возраста и других факторов. В целом имеется отрицательная корреляция между тревожностью и успешностью обучения, однако подчеркивается, что незначительный уровень тревожности может способствовать обучению, увеличивая продолжительность самостоятельной работы с учебным материалом. Н. А. Курдюковой (1997) выявлено, что у учащихся 10–11-х классов с высокой тревожностью успеваемость хуже, чем у учащихся с низкой тревожностью. По данным Ч. Спилбергера, студенты с высокой тревожностью в четыре раза чаще отчисляются из колледжа.

Рис. 14.6. Возрастные изменения числа школьников с высоким нейротизмом.
В исследовании Е. А. Сидорова (1983) было выявлено, что чем ниже была активность школьников на уроках физкультуры, тем чаще встречалась высокая тревожность (рис. 14.7).

Рис. 14.7. Связь двигательной активности с тревожностью: а – высокая тревожность; б – низкая тревожность.
Р. Кэттелл и И. Шрейер показали, что высокий уровень тревожности снижает успешность профессиональной деятельности. Повышенная личностная тревожность, по данным Ю. А. Цагарелли (1979), отрицательно влияет на успешность концертно-исполнительской деятельности музыкантов. Спортивные психологи (Миленин, 1970) установили, что высокотревожные спортсмены на ответственных соревнованиях, как правило, выступают плохо. Поскольку тревожность и страх тесно связаны, в некоторых видах спорта (прыжки в воду, парашютный спорт) люди с высокой личностной тревожностью практически не встречаются, причем это касается не только спортсменов высокого класса, но и новичков. Кроме того, по данным Н. П. Фетискина (1981), лица с высокой тревожностью менее устойчивы к монотонной работе, чем лица с низкой тревожностью.
Однако и низкая тревожность может обусловливать плохую эффективность деятельности. Все зависит, очевидно, от вида деятельности, которым занимается человек. Так, по данным Н. Е. Высотской (1979), низкий по оценкам педагогов уровень таких профессионально-важных качеств, как трудолюбие, эмоциональная выразительность, артистичность, наблюдался у учащихся хореографического училища не только с высоким, но и с низким уровнем тревожности (причем лиц со средним уровнем тревожности было больше, чем лиц с высоким уровнем). В то же время высокий уровень этих качеств наблюдался у учащихся с высоким и средним уровнем тревожности, но не у учащихся с низким уровнем (табл. 14.6).
Таким образом, выявилась тенденция более высокой успешности учащихся со средним уровнем тревожности. Очевидно, это объясняет тот факт, что успеваемость по танцевальным дисциплинам и актерскому мастерству обнаружила только одну достоверную линейную корреляцию с тревожностью (в группе девушек успеваемость по характерному танцу была тем выше, чем больше была у учащихся личностная тревожность).
Таблица 14.6. Профессиональные качества и уровень тревожности.

Очевидно, что меньшая успешность высокотревожных обусловлена стандартными подходами в обучении, без учета специфики их психологических особенностей. При разработке же методов обучения, адекватных для высокотревожных, их успешность обучения может быть не меньшей, чем у низкотревожных. В качестве доказательства приведу результаты исследования Ю. Н. Шувалова (1988) по начальному обучению студентов плаванию. Было выявлено, что высокий нейротизм препятствует обучению не умеющих плавать из-за их боязни глубины. Связано это было с тем, что у 80% студентов с высокой тревожностью имелась и врожденная трусливость. Поэтому только 52% высокотревожных студентов проявили заинтересованность в обучении плаванию (против 74% с низкой тревожностью). Не останавливаясь на всех деталях этого исследования, представляющих интерес лишь для специалистов, отмечу главное: использование дифференцированного подхода, разработанного Ю. Н. Шуваловым с учетом специфичных особенностей высокотревожных студентов, в том числе и включение в учебную программу курса психической регуляции, позволило преодолеть негативные тенденции этих студентов и всех их обучить плаванию за отведенное учебным планом время (чего при стандартном, одинаковом для всех подходе достигнуть не удавалось).
Тревожность влияет на стиль деятельности. Н. А. Буксеев (1987) выявил, что высокая тревожность чаще встречается у борцов универсального стиля (в 83% случаев), реже – у борцов контратакующего стиля (58%) и еще реже – у борцов атакующего стиля, т. е. агрессивных (43%). По данным А. И. Горбачева (Ильин, Горбачев, Илларионов, 1974), у «мягких» (либеральных) спортивных судей высокая тревожность встречается чаще, чем у «жестких» (автократичных) судей.
Есть основания предполагать, что тревожность играет определенную роль в естественном отборе в некоторые виды деятельности, в частности – в спортивные. Так, практически не обнаружены спортсмены с высокой тревожностью в таких видах спорта, как парашютный, причем как среди мастеров, так и среди новичков (Карольчак, 1970; Григорьева, 1975), и прыжки в воду (Демьянов и др., 1974). У гандболисток различного амплуа выделяются вратари, среди которых высокая тревожность встречается очень редко (всего у 10%). Действительно, трудно представить себе классного вратаря (а это были вратари сильнейших в СССР команд), обладающего высоким нейротизмом, эмоционально неустойчивого, т. е. не хладнокровного. Выделялись и центровые, у которых высокая тревожность встречается чаще (в 20%), но по сравнению с другими амплуа значительно реже (Ильин и др., 1974). По своей функции они должны лезть напролом к воротам соперника, несмотря на столкновения с защитниками противоборствующей команды и их жесткое, а порой и жестокое противодействие.
Более 800 000 книг и аудиокниг! 📚
Получи 2 месяца Литрес Подписки в подарок и наслаждайся неограниченным чтением
ПОЛУЧИТЬ ПОДАРОК