Страх
По мнению К. Изарда, результаты ряда исследований убеждают в том, что необходимо различать страх и тревогу, хотя ключевой эмоцией при тревоге является страх.
Страх – это эмоциональное состояние, отражающее защитную биологическую реакцию человека или животного при переживании ими реальной или мнимой опасности для их здоровья и благополучия. Следовательно, для человека как биологического существа возникновение страха не только целесообразно, но и полезно. Однако для человека как социального существа страх часто становится препятствием для достижения поставленных им целей.
Причины страха. Состояние страха является довольно типичным для человека, особенно в экстремальных видах деятельности и при наличии неблагоприятных условий, незнакомой обстановки. Во многих случаях механизм появления страха у человека является условно-рефлекторным (Уотсон, 1926) в результате испытанной ранее боли или какой-либо неприятной ситуации. Возможно и инстинктивное проявление страха (например, испуг), хотя Штерн (1922) отвергает врожденность страха (впрочем, признавая биологическую основу боязни непривычного). Правда, есть ученые, которые не относят испуг к страху, а обозначают его как «реакцию вздрагивания», как чисто биологическую реакцию, в отличие от страха, имеющего психологическую природу (Бюлер, 1924). К. Изард (1999) и в наше время придерживается такой же, весьма спорной, на мой взгляд, точки зрения.
Разными авторами отмечаются различные причины, вызывающие страх. Дж. Боулби (Boulby, 1973) отмечает, что причиной страха может быть как присутствие чего-либо угрожающего, так и отсутствие того, что обеспечивает безопасность (например, мать для ребенка). Дж. Грэй (Grаy, 1971) считает, что страх может возникнуть, если событие не происходит в ожидаемом месте и в ожидаемое время. Многие авторы отмечают, что страх вызывается объектом (предметом, человеком, явлением природы), но что бывают и беспредметные страхи, т. е. не связанные с чем-то конкретным.

Рис. 7.2. Причины страха.
Дж. Боулби выделил две группы причин страха: «природные стимулы» и «их производные» (рис. 7.2). Он полагает, что врожденные детерминанты страха связаны с ситуациями, которые действительно имеют высокую вероятность опасности. Производные стимулы больше подвержены влиянию культуры и контекста ситуации, чем природные стимулы. Дж. Боулби считает одиночество наиболее глубокой и важной причиной страха. Он связывает это с тем, что как в детстве, так и в старости вероятность возникновения опасности заболеть при одиночестве значительно возрастает. Кроме того, такие природные стимулы страха, как незнакомость стимуляции и ее внезапные изменения значительно сильнее пугают на фоне одиночества.
К. Изард подразделяет причины страха на внешние (внешние процессы и события) и внутренние (влечения и гомеостатические процессы, т. е. потребности, и когнитивные процессы, т. е. представление человеком опасности при воспоминании или предвидении). Во внешних причинах он выделяет культурные детерминанты страха, являющиеся, как показано С. Речменом (Raсhman, 1974), результатом исключительно научения (например, сигнал воздушной тревоги). С этой точкой зрения не согласен Дж. Боулби, который полагает, что многие культурные детерминанты страха при ближайшем рассмотрении могут оказаться связанными с природными детерминантами, замаскированными различными формами неправильного истолкования, рационализации или проекции. Например, боязнь воров или привидений может быть рационализацией страха темноты, страх перед попаданием молнии – рационализацией страха грома и т. д. Многие страхи связаны с боязнью боли: ситуации, которые вызывают боль (угроза боли), могут вызывать страх независимо от наличного ощущения боли. Речмен возражает против концепции травматического обусловливания страха, которая импонирует многим ученым (среди отечественных ученых большое место связи боли и различных видов страха уделяет В. С. Дерябин). Речмен отмечает тот факт, что многие люди боятся змей, однако никогда не имели с ними контакта, тем более болезненного.
Е. А. Калинин (1970) в качестве детерминант страха у гимнастов отмечает недолеченную травму, недостаточный опыт выступления в ответственных соревнованиях, длительный перерыв в выступлениях.
А. С. Зобов (1983) все опасности, вызывающие страх, разделил на три группы:
1) реальные, объективно угрожающие здоровью и благополучию личности;
2) мнимые, объективно не угрожающие личности, но воспринимаемые как угроза благополучию;
3) престижные, угрожающие поколебать авторитет личности в группе.
Очевидно, что в каждой стране и регионе проживания могут иметься свои специфические страхи. Вот, например, чего боялись россияне в конце ХХ века по данным НИИ социального анализа и статистики: 32% боятся, что их родные и близкие могут серьезно заболеть; собственным здоровьем озабочены 25%; преступностью – 20%; возможной бедностью – 19%; боятся произвола властей 18%; ухудшения экологической обстановки – 14%; наступления старости и физической боли – 13%; начала крупномасштабной войны – 11%; развязывания межнациональных конфликтов – 9%; одиночества – 8%; массовых репрессий типа сталинских – 7%; гибели человечества – 6%; гнева божьего – 3%; собственной смерти – 2% (Аргументы и факты. 2000. № 8 (1009). С. 24).
Факторы, способствующие возникновению страха или затрудняющие его и влияющие на его интенсивность. Некоторые факторы облегчают возникновение страха. К ним относят:
1) контекст, в котором происходит событие, вызывающее страх (Sroufe, Waters, Matas, 1974);
2) опыт и возраст человека (Jersild, Holmes, 1935; Gray, 1971; Izard, 1971; Bowlby, 1973);
3) индивидуальные различия в темпераменте или предрасположенностях (Скрябин, 1972, 1974; Charlеsworth, 1974; Kagan, 1974). Так, Н. Д. Скрябин выявил, что величина и качество вегетативных и нейродинамических сдвигов при страхе зависит от того, насколько у человека развито самообладание (смелость). У лиц, склонных к трусливости, частота сердечных сокращений при оценке ситуации как опасной может не повыситься, а снизиться, а вместо покраснения лица наблюдается его побледнение. Трусливые характеризуются меньшей устойчивостью баланса нервных процессов, и для них наиболее характерен сдвиг баланса в сторону торможения (в отличие от смелых, у которых баланс чаще сдвигается в сторону возбуждения).
Переживание человеком страха описывается многими словами:
бояться – страшиться – дрожать
оробеть – устрашиться – трепетать
стушеваться – испугаться – трястись
опасаться – трусить – оторопеть
остерегаться – дрейфить – паниковать
Отсутствие конкретного и обоснованного содержания в каждом термине, обозначающем страх, приводит к таким казусам, как «страх – это эмоция, о которой многие люди думают с ужасом» (Изард, 2000, с. 294) или «…переживание страха пугает человека» (там же, с. 295), «…большинство людей боится этой эмоции» (страха. – Е. И.) (там же, с. 324). Ясно, что, не придав каждому термину четкого и специфичного содержания (если это возможно), разобраться в том, как человек может испытывать страх и даже ужас перед страхом, невозможно.
Некоторые авторы пытаются вложить в различные словесные обозначения страха конкретное содержание, выделить, таким образом, различные его виды. Однако при этом следовало бы учитывать предостережение У. Джемса, который писал, что «подразделения эмоций, предлагаемые психологами, в огромном большинстве случаев простые фикции, и претензии их на точность терминологии совершенно неосновательны» (1991, с. 273). Он отмечает, что подавляющее большинство психологических исследований эмоций носит чисто описательный характер. Отсюда и некоторая произвольность в описании тех или иных синонимичных понятий, необоснованность их дифференцирования.
Виды страха. Одним из первых (1927) предпринял попытку дифференцировать разные виды страха психолог и психиатр Н. Е. Осипов (2000). Он писал, что при восприятии реальной опасности у человека появляется страх, при восприятии таинственного, фантастического – жуть, а при восприятии комбинации того и другого – боязнь. Ужас испытывается при наличии всяких моментов опасности одновременно. Эта классификация опирается лишь на внешние причины появления страха, но не раскрывает психофизиологические различия разных видов страха. Поэтому остается вопрос – не являются ли разные словесные обозначения страха просто синонимами?
Слабая обоснованность используемых терминов, обозначающих страх, видна и у О. А. Черниковой (1980), которая выделяет следующие формы проявления страха: боязнь, тревожность, робость, испуг, опасение, растерянность, ужас, паническое состояние.
Боязнь как ситуативную эмоцию она связывает с определенной и ожидаемой опасностью, т. е. с представлениями человека о возможных нежелательных и неприятных последствиях его действий или развития ситуации.
Эмоция опасения, полагает Черникова, – это чисто человеческая форма переживания опасности, которая возникает на основании анализа встретившейся ситуации, сопоставления и обобщения воспринимаемых явлений и прогнозирования вероятности опасности или степени риска. Это интеллектуальная эмоция, «разумный страх», связанный с предугадыванием опасности.
Отсутствие четкого разделения этих двух видов отношения к опасности в описании Черниковой очевидно. Разве боязнь как ожидание опасности не связана с прогнозом, с предугадыванием опасности, когда человек представляет неприятные для него последствия? И разве не может быть опасение «неразумным» из-за неведения человека? Ведь и сама Черникова пишет, что опасение может возникать без достаточного основания, т. е. бывает не всегда разумным. Да и высказывания «я боюсь, что у меня ничего не получится» и «я опасаюсь, что у меня ничего не выйдет» по смыслу одинаковы.
Надо сказать, что и в обыденной речи существует большая неопределенность в использовании этих слов. Так, в «Словаре русского языка» С. Ожегова говорится, что опасаться – значит бояться, т. е. испытывать беспокойство, страх. Опасение – это беспокойство, чувство тревоги, предчувствие опасности. Наконец, опасливый – это человек осторожный, действующий с опаской («как бы чего не вышло»). Отсюда опасение и боязнь – это скорее синонимы, отражающие чаще тревогу, чем страх.
Скорее всего, боязнь, опасение – это обобщающие термины, характеризующие отношение человека к опасным ситуациям, но не обязательно связанные с переживаниями той или иной эмоции. Эти ситуации могут вызвать тревогу, которая, в свою очередь, может перерасти в страх различной степени выраженности (от робости до ужаса и паники), т. е. сопровождаться переживаниями, но могут быть восприняты и без переживаний, когда человек ограничивается лишь констатацией их опасности (например, человек говорит, что боится змей, но это не значит, что сейчас он переживает эмоцию страха – в данный момент никакой угрозы для него нет). Последнее означает, что у человека возникла эмоциональная установка на отношение к тому или иному объекту. Это знаемый страх, зафиксированный в эмоциональной памяти вместе с вызвавшим его объектом, но не обязательно переживаемый. Такая же установка может возникать и в отношении возникновения у человека тех или иных эмоций. И именно с этих позиций можно понять выражения К. Изарда, приведенные ранее: бояться страха – это значит иметь негативную установку (отрицательное отношение) к его возникновению и переживанию.
Знаемые страхи существенно отличаются от так называемых аффективных страхов, т. е. страхов реальных, переживаемых и проявляемых человеком в экспрессии. К аффективным страхам относятся робость, ужас, паническое состояние, испуг.
Робость, по О. А. Черниковой, – это слабо выраженная эмоция страха перед новым, неизвестным, неиспытанным, непривычным, которая иногда может носить ситуативный характер, но чаще всего – обобщенный. Характеризуется тормозными влияниями на поведение и действия человека, что приводит к скованности движений и сужению объема внимания (оно приковано к собственному внутреннему состоянию и в меньшей степени направлено на внешнюю ситуацию, отчего действия становятся нецеленаправленными и беспомощными).
Ужас и паническое состояние справедливо характеризуются упомянутым автором как наиболее интенсивные формы выражения страха, хотя с их физиологической интерпретацией (только как сильным корковым торможением) согласиться трудно, особенно в отношении паники. Человек в панике убегает от опасности не потому, что в результате торможения коры головного мозга растормаживается подкорка, а потому, что заражается эмоцией страха от других людей, подчас не понимая даже саму опасность. Об этом пишет и Черникова: «В панике человек бежит от опасности, стремясь только к одному – спастись. Властное стремление уйти от опасности гонит его слепо и неудержимо, умножая физические силы. Но в этом бегстве нет разумного контроля и здоровой оценки создавшихся условий. Доводы морали и разума тускнеют перед властью панического страха – самого сильного деморализующего чувства, которому может быть подвержен человек» (с. 36—37).
Таким образом, рассмотренные формы страха, о которых говорит О. А. Черникова, по сути не являются формами, а характеризуют лишь различную степень (силу) выраженности страха – от боязни и робости до ужаса и паники. Качественные различия между этими переживаниями опасности в описании их Черниковой не обнаруживаются.
Выделенные другие формы страха – тревожность, неуверенность, растерянность – тем более не могут считаться формами страха, так как прямо не относятся к нему.
Неуверенность (сомнение) – это оценка вероятности совершения того или иного события, когда отсутствует достаточная информация, необходимая для прогнозирования. Чувство неуверенности – это бытовой штамп, характеризующий лишь многозначность и неадекватность использования этого понятия. Неуверенность в своих силах может вызвать и опасение за успех осуществляемой деятельности, но опасением и тем более страхом не является.
Растерянность – это интеллектуальное состояние, характеризуемое потерей логической связи между осуществляемыми или планируемыми действиями. Нарушаются восприятие ситуации, ее анализ и оценка, вследствие чего затрудняется принятие разумных решений. Поэтому растерянность характеризуется нецелесообразными действиями или полным бездействием. Она может сопровождать панику, но сама по себе не является переживанием опасности, хотя может являться ее следствием.
Испуг. Особой, фило– и онтогенетически первой формой страха является испуг или «неожиданный страх». Испуг, как отмечал И. И. Сеченов, – явление инстинктивное (поэтому К. Д. Ушинский называл его инстинктивным или органическим страхом), а возникающие в результате его защитные действия – непроизвольны. Испуг возникает в ответ на неожиданно появляющийся сильный звук, какой-либо объект и проявляется в трех формах: оцепенении, паническом бегстве и беспорядочном мышечном возбуждении. Для него характерна кратковременность протекания: оцепенение быстро проходит и может смениться двигательным возбуждением.
Изучение вегетативных сдвигов и тремора при испуге, осуществленное Н. Д. Скрябиным (1974 а), показало, что реакция испуга протекает у лиц с различным уровнем смелости по-разному. У лиц с низкой степенью смелости выражено учащение пульса, причем сразу после выстрела нередко бывают «паузы» в сокращении сердца. У лиц с высокой степенью смелости таких «пауз» нет. У боязливых тремор возрастает значительно больше, чем у смелых. Зато кожно-гальваническая реакция (КГР) у последних может быть более выраженной (рис. 7.3).
При ожидании сильного звука («выстрела») боязливые обнаруживают большую кожно-гальваническую реакцию (как по высоте пика, так и по общей площади), чем смелые. Кроме того, реакция ожидания у боязливых выражена сильнее, чем при неожиданном «выстреле», в то время как у смелых ожидаемая реакция меньше, чем при неожиданном «выстреле».
Внешнее и внутреннее выражение страха. Внешние проявления сильного страха описаны еще Ч. Дарвином. У человека дрожат ноги, руки, нижняя челюсть, срывается голос. Глаза при страхе раскрыты более широко, чем в спокойном состоянии, нижнее веко напряжено, а верхнее слегка приподнято. Брови почти прямые и кажутся несколько приподнятыми. Внутренние углы бровей сдвинуты друг к другу, имеются горизонтальные морщины на лбу. По данным П. Экмана и В. Фрайзена (Ekman, Friesen, 1975), если из всех этих проявлений присутствует только положение бровей, то это свидетельствует либо о предчувствии страха, беспокойстве, либо о контролируемом страхе. Рот открыт, губы напряжены и слегка растянуты. Это придает рту форму, близкую к овальной.

Рис. 7.3. Индивидуальные показатели КГР у лиц с различной степенью смелости: а – испытуемый с высокой степенью смелости, б – испытуемый с низкой степенью смелости; I – КГР, II – отметка времени в секундах; НВ – момент неожиданного «выстрела», С – сигнал о повторном «выстреле», ОВ – ожидаемый выстрел.
При страхе затормаживаются процессы восприятия, оно становится более узким, сфокусированным на каком-то одном объекте. Мышление замедляется, становится более ригидным. Ухудшается память, сужается объем внимания, нарушается координация движений. Наблюдается общая скованность. Все это свидетельствует об ослаблении у человека самоконтроля, он с трудом владеет собой. Иногда сильный страх сопровождается потерей сознания.
К. Д. Ушинский дал яркое психологическое описание сильного страха: «Действие страха именно потому и ужасно, что он, останавливая деятельность души, в то же время приковывает ее внимание к предмету страха. В эти минуты, по меткому выражению народной психологии, мы “ни живы, ни мертвы”: мы не живем потому, что деятельность нашей души остановлена, а деятельность есть жизнь нашей души; мы не умерли еще потому, что чувствуем во всей силе эту страшно мучительную остановку жизни» (1974, с. 403).
Вегетативные изменения при сильном страхе тоже ярко выражены. Обычно это учащение сокращений сердца, подъем артериального давления, нарушение ритма дыхания, расширенные зрачки. Поверхность кожи холодна, поэтому часто выступающий на лбу и ладонях пот называют «холодным». Однако могут наблюдаться и противоположные сдвиги, например, урежение сокращений сердца, резкое побледнение лица. При сильном страхе может наблюдаться рвота, непроизвольное опорожнение мочевого пузыря и кишечника.
Описание различной степени страха у впервые прыгающих парашютистов дано в ряде работ (Горовой-Шалтан, 1934; Хлебников, Лебедев, 1964, и др.). Сама перспектива предстоящего прыжка вызывает у многих изменение состояния. Накануне дня, на который назначен прыжок, появляются беспокойство, сомнения и опасения, сон становится тревожным; артериальное давление, пульс, дыхание, потливость повышены. При посадке в самолет частота сердечных сокращений увеличивается до 120—140 уд./мин, появляется резкое побледнение или покраснение кожных покровов, сухость во рту, из-за чего голос становится сиплым, глухим, наблюдается расширение зрачков. Изменяется и поведение. У одних появляются оцепенение, дрожь, сосредоточенность и заторможенность, в отдельных случаях с угнетением психики и с безучастностью к окружающему (пассивно-оборонительная форма страха). У других обнаруживаются двигательное возбуждение, говорливость, отвлекаемость внимания, трудность сосредоточения.
Когда страх возрастает до аффекта (ужаса), картина несколько меняется. Ч. Дарвин описывает ее следующим образом: «Сердце бьется совершенно беспорядочно, останавливается, и наступает обморок; лицо покрыто мертвенной бледностью; дыхание затруднено, крылья ноздрей широко раздвинуты, губы конвульсивно двигаются, как у человека, который задыхается, впалые щеки дрожат, в горле происходит глотание и вдыхание, выпученные, почти не покрытые веками глаза устремлены на объект страха или безостановочно вращаются из стороны в сторону… Зрачки при этом бывают непомерно расширены. Все мышцы коченеют или приходят в конвульсивные движения: кулаки попеременно то сжимаются, то разжимаются, нередко эти движения бывают судорожными. Руки бывают или простерты вперед, или могут беспорядочно охватывать голову. В других случаях появляется неудержимое стремление обратиться в бегство, это стремление бывает столь сильно, что самые храбрые солдаты могут быть охвачены внезапной паникой» (У. Джемс, 1991, с. 285). Субъективно страх может переживаться как предчувствие, неуверенность, как полная незащищенность, ненадежность своего положения, как чувство опасности и надвигающегося несчастья, как угроза (физическая и психологическая) своему существованию.
По данным С. А. Зобова (1983), на эффективность действий в ситуациях угрозы оказывает влияние эмоциональная реактивность (эмоциональность): чем она выше, тем в большей мере снижается эффективность. При обучении плаванию негативное влияние высокой эмоциональной реактивности резко проявилось при освоении субъектами глубокой части бассейна. Негативное влияние высокой эмоциональной реактивности усугубляется факторами новизны, неожиданности и внезапности воздействия опасного раздражителя.
Из интервью с Е. Вайцеховской, олимпийской чемпионкой по прыжкам с десятиметровой вышки
– Вам никогда не было страшно прыгать с такой высоты?
– Конечно, было страшно. Пожалуй, перед каждым прыжком, особенно если с вышки вниз глянешь, к сердцу холодок подбирался. Но перебарывать страх вошло у меня в привычку. И если после напряженных соревнований, во время которых я думала лишь о том, чтобы как можно лучше сделать тот или иной прыжок, вдруг вспоминала, что внутреннего холодка сегодня вовсе не чувствовала, то даже как-то обидно становилось. …Помню свой первый прыжок с десяти метров, причем самый простой – «солдатиком». Мне было одиннадцать лет, занималась прыжками не очень долго, но сама напросилась на «геройство». Тренер разрешила. В общем два с половиной часа проторчала я на вышке, поревела, два раза спускалась до семи метров, но становилось стыдно, и я возвращалась обратно на «десятку». Потом все-таки прыгнула.
Газета «Советский спорт». 1983. 1 июля
Формы проявления страха. Страх, как отмечает К. К. Платонов (1984), проявляется в двух основных формах – астенической и стенической. Первая проявляется в пассивно-оборонительных реакциях (например, в оцепенении, ступоре с общим мышечным напряжением, дрожи – «рефлекс мнимой смерти») и в активно-оборонительных реакциях – в мобилизации своих возможностей для предупреждения опасного исхода (бегство). Пассивно-оборонительные реакции И. П. Павлов связывал с торможением корковых центров: «То, что психологически называется страхом, трусостью, боязливостью, имеет своим физиологическим субстратом тормозное состояние больших полушарий» (1951, с. 432).
Примером такого ярко выраженного страха является упоминаемый В. С. Дерябиным (1974) случай, когда после землетрясения в Мессине одна женщина, онемев, без движения в течение трех суток оставалась в постели с ребенком, хотя без труда могла спастись; ребенок за это время умер.
И. П. Павлов, однако, слишком узко трактовал механизмы страха, не учитывая, что он может быть связан и с состоянием возбуждения корковых клеток, с «двигательной бурей», т. е. с бессистемной двигательной активностью человека.
Стеническое проявление страха выражается в состоянии «боевого возбуждения», по терминологии Б. М. Теплова. Оно связано с активной сознательной деятельностью в момент опасности и положительно окрашено, т. е. человек испытывает своеобразное наслаждение и повышение психической активности. Это «упоение страхом», о котором писал А. С. Пушкин: «Все, все что гибелью грозит, для сердца смертного таит неизъяснимы наслажденья» («Пир во время чумы»). Ради получения этого наслаждения люди катаются на «американских горках», прыгают с парашютом и т. д. Объяснение этому довольно странному с точки зрения логики поведению дает Ричард Соломон (R. Solomon, 1980) в «теории двустороннего давления». Ее суть состоит в том, что как позитивные, так и негативные эмоциональные процессы автоматически включают антагонистические им эмоциональные процессы. По Соломону, положительные эмоциональные реакции возникают не вследствие редукции (устранения) отрицательных эмоциональных переживаний, а вследствие того, что отрицательные эмоциональные реакции приводят к выработке опиатов, которые вызывают переживание удовольствия, эйфории. Эта теория еще не прошла тщательной проверки, но весьма интересна и правдоподобна.
Смерть от страха ожидания страха
«“Вот он!” – закричал Вий и уставил на него железный палец, и все, сколько ни было, кинулись на философа. Бездыханный, грянулся он на землю, и тут же вылетел дух из него от страха…» (Н. В. Гоголь. «Вий»).
«“Безумец! – Здесь Родерик Ушер вскочил, бешено выкрикивая как бы в последнем смертельном усилии. – Безумец! Говорю вам, что она стоит сейчас за дверью!”» И, как если бы эти слова были заклинанием, порыв ветра распахнул двери, а за ними стояла высокая, окутанная окровавленным саваном фигура леди Мадлены Ушер. Одно мгновение оставалась она на пороге, трепеща и шатаясь; затем с горестным воплем тяжело упала на руки брата и в своей бурной, на этот раз окончательной агонии увлекла его в своем падении уже мертвого – жертву ужаса, предугаданного им перед этим…» (Эдгар По. «Падение дома Ушеров»).
Это сказки, поэтический вымысел. Но возможно ли что-либо подобное в действительности? Каждый из нас испытал хотя бы раз в жизни, какое сильное чисто физиологическое действие способно произвести в нас предвидение опасности: лицо бледнеет, сердце начинает биться ускоренно и неровно, пот выступает на лбу и т. д. Все эти явления относятся к числу так называемых вегетативных реакций, которые в подобного рода случаях наступают не в ответ на реальное раздражение или впечатление, а на одно только вероятностное предвидение их. Может ли, однако, совокупная вегетативная реакция на предугадываемое будущее достигнуть такой силы, чтобы действительно оказаться причиной смерти?
Полковник де-Роша, живший в Париже на рубеже XIX и ХХ веков и известный в то время своими исследованиями в области гипноза и внушения, сообщил в печати о следующем случае.
Надзиратель одного парижского лицея своим поведением вызвал к себе ненависть со стороны студентов, и они решили отомстить ему. Несколько студентов схватили его, заперлись с ним в темной комнате и стали производить над ним суд, причем перечислили все его преступления. Присудили обезглавить его. Принесли топор и плаху и объявили осужденному, что ему остаются только три минуты на то, чтобы покончить все земные расчеты и приготовиться к смерти. По прошествии этого срока ему завязали глаза, принудили его стать на колени, обнажили ему над плахой шею, и один из участников этой жестокой забавы нанес ему мокрым полотенцем удар по спине. После этого присутствующие с хохотом предложили ему подняться. К их великому удивлению и испугу, приговоренный не двинулся с места: он был мертв.
Возрастно-половые особенности проявления страха. В различном возрасте проявляются разные страхи, что зависит от процессов созревания и развития человека (Lewis, Rosenblum, 1974). Первичная эмоция страха на сильный раздражитель (испуг) наблюдается уже у новорожденного. Страх перед незнакомыми людьми возникает на первом году жизни между шестью и девятью месяцами (Bronson, 1974; Sroufe et al., 1974). Раньше этот страх не может возникать по той причине, что младенец не умеет еще отличать знакомые лица от незнакомых. Боязнь животных и темноты обычно появляется у детей после 3 лет, достигая пика в четыре года. Дети боятся спать одни при выключенном свете. Размышляя над природой этого страха, К. Д. Ушинский писал: «Некоторые, как, например, Рид и отчасти Руссо, думают, что дети уже по природе боятся темноты, но мы скорее согласны с Бэном, отвергающим эту боязнь. Темнота, скрывая от нас окружающее, может сильно способствовать развитию в нас всякого рода страхов, которые зависят уже от других причин, но сама по себе темнота едва ли может быть причиной страха. (…) Вообще трудно решить, есть ли в природе предметы, внушающие страх человеку и животному даже и тогда, когда они видят эти предметы в первый раз. Кажется, что такие предметы есть для животных: голубь, никогда не видевший змеи, выказывает все признаки сильного страха, когда она наведет на него глаза свои. Но есть ли такие предметы для человека – мы не знаем. Кажется, мы можем принять за истину, что человек не боится ничего, пока собственные опыты или рассказы других не покажут ему, что у него не всегда станет сил для преодоления препятствий, и не познакомят его с душевным страхом, с чувством силы, отступающей от препятствий, вместо того чтобы кинутся на них…» (1974, с. 400).
По поводу неразумного воспитания детей, приводящего к появлению детских страхов, писал и В. М. Бехтерев: «Вряд ли нужно говорить, что эмоция страха особенно вредна для здоровья ребенка, и потому надо избегать всего, что приводит ребенка в испуг и вгоняет в страх. Сколько тяжких нервных страданий, иногда даже неизлечимых, развивается под влиянием испуга в детском возрасте, а между тем все еще распространены забавы с детьми, основанные на испуге ребенка каким-либо внезапным появлением с угрожающими звуками или переодеванием. (…) Вместе с тем следует старательно оберегать ребенка от всех страшных рассказов, например, о бабе-яге, о страшных великанах, о злой и доброй дочке, о медведе с поломанной ногой и т. п. Благодаря таким рассказам, уже рано ребенок начинает страшиться многого, начинает беспокойно спать, тревожимый страшными сонными грезами. Сколько вреда принесли уже разные детские книжки со страшными рассказами, а между тем до сих пор еще не могут их изгнать из употребления в детских» (1997, с. 231—232).
В настоящее время выявлено, что и у маленьких детей незнакомые объекты, в частности люди, могут вызывать страх. Феномен реакции страха на незнакомца привлек внимание ряда западных психологов.
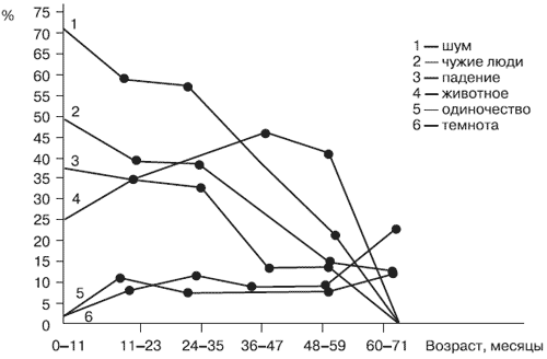
А. Джерсилд и Ф. Холмс (Jersild, Holms, 1935) показали, что в возрасте от одного года до 6 лет постепенно уменьшается боязнь звуков и незнакомых предметов, а страх перед воображаемыми ситуациями в возрасте 5–6 лет заметно усиливается (рис. 7.4). Через полвека было показано, что страх темноты, боязнь одиночества, чужих людей и незнакомых предметов стали появляться в более раннем возрасте (Draper, Jamеs, 1985).

Рис. 7.4. Стимулы, вызывающие страх у детей до 6 лет.
По данным П. С. Зобова (1983), в дошкольном возрасте мнимые (выдуманные, фантастические) страхи преобладают над реальными, в содержании которых фигурируют фантастические образы из прочитанных сказок, фильмов ужасов и т. п.; в последующие годы значимость мнимых опасностей снижается, а реальных – возрастает.
Среди реальных страхов в дошкольные годы первое место занимает боязнь воды. Второе место занимает страх, вызванный угрозой нападения животных, третье – боязнь падения с большой высоты и боязнь дорожно-транспортных происшествий.
Школьники младших и средних классов чаще всего отмечают реальные опасности, затем – мнимые. Имеют место и престижные опасности. Из реальных страхов преобладают боязнь воды и высоты, боязнь животных, опасения за здоровье родных и близких. Среди мнимых страхов выделяются боязнь темноты и недовольства взрослых. Из престижных страхов называются боязнь получения плохой отметки, выступления перед большой аудиторией и др. Это подтверждается и данными Н. К. Сурогиной (1998): у школьников 7–9 лет в 72% случаев присутствуют страхи, связанные со школой и обучением, в 53% – с неуверенностью в отношениях с учителем. Это свидетельствует о наличии дистанции между учителем и учениками, отсутствии между ними полноценного контакта, о недостатке или отсутствии у преподавателей интереса к детям.
В старшем школьном и студенческом возрасте на первое место выходят престижные опасности, затем реальные и только потом – мнимые. Из престижных опасностей больше всего боятся неудачи на экзаменах и контрольных, одиночества, безразличия со стороны товарищей, выступления перед большой аудиторией. Из реальных страхов преобладают тревога за здоровье или потерю родных и близких, страх перед хулиганами, бандитами, страх перед большой высотой, страх войны и др. Мнимые опасности связаны с насекомыми, мышами, крысами, медицинскими процедурами. Отмечается боязнь покойников, вида крови, новой обстановки, темноты. Девушки отмечают мнимые опасности в шесть раз чаще, чем юноши.
А. И. Захаров (1995) выявил существенное увеличение количества страхов в преддошкольном возрасте (рис. 7.5). При этом у девочек количество страхов больше, чем у мальчиков.

Рис. 7.5. Количество страхов у детей разного возраста.
У взрослых, по данным Захарова, из детских страхов остаются страхи высоты (больше у мужчин) и смерти родителей (больше у женщин). У женщин в значительно большей степени выражены также страх войны, сделать что-либо неправильно или не успеть (в отношении последнего случая я бы предпочел говорить о тревоге, а не о страхе). По данным американских авторов, наибольшее число тех, кто боится змей, высоты, грозы, социальных ситуаций и закрытого пространства отмечается среди 20-летних молодых людей. Наибольшее количество лиц, которые боятся толпы, травмы, смерти, болезни, одиночества, наблюдается в возрасте 60 лет, а наибольшее количество людей, которые боятся уколов, врачей, темноты, незнакомых людей, наблюдается в 10 лет (Р. Комер, 2002).
В. В. Зеньковский (1924) приводит данные Стенли Холла, который показал, что у лиц женского пола в возрасте 4–28 лет количество страхов больше, чем у лиц мужского пола. Особенно заметны эти различия в 4 года и в 18 лет.
Что касается лицевой экспрессии страха и ее различения от других негативных эмоций, то у младенцев одни и те же индикаторы могут свидетельствовать как о страхе, так и о страдании. Отчетливые различия в мимике этих состояний появляются у более старших детей.
Преодоление страха. Игнорирование этого эмоционального состояния, равно как и высмеивание, скорее всего, даст отрицательный результат. Разумнее признать наличие у человека страха и помочь ему преодолеть его, показывая, что нет никаких реальных причин для его возникновения.
Для снятия страха может использоваться психотерапевтический метод, называемый десенсибилизацией, основанный на классическом обусловливании; он осуществляется поэтапно с постепенным наращиванием интенсивности стимульного воздействия.
Страх у детей чаще всего проявляется при катании на коньках, спуске с горок на лыжах, при освоении езды на велосипеде и т. п. Поэтому разработан ряд приемов, помогающих преодолеть страх при выполнении двигательных действий спортивного характера. По В. Г. Темпераментовой (1982), такими приемами являются:
– постепенное повышение сложности препятствий, которые нужно преодолеть;
– расчленение сложных действий на части и выполнение их в облегченных условиях (на полу, на невысокой опоре);
– разучивание специальных и подготовительных действий, создающих уверенность в выполнении и основного действия;
– обеспечение страховки на первом этапе разучивания действия;
– приведение в пример других детей, легко выполнивших данное действие;
– исключение нетактичных замечаний с подчеркиванием боязни ребенка;
– ободрение ребенка, внушение ему уверенности в том, что он сумеет выполнить данное действие.
Для преодоления страха используют также психорегулирующую тренировку, внушенный сон, медикаментозные средства.
Однако все эти приемы, помогая адаптироваться к конкретной опасной ситуации, не делают человека смелым. Попадая в новую незнакомую для него ситуацию, человек снова становится дезадаптированным к опасности (Скрябин, 1975).
Более 800 000 книг и аудиокниг! 📚
Получи 2 месяца Литрес Подписки в подарок и наслаждайся неограниченным чтением
ПОЛУЧИТЬ ПОДАРОК